精英家教网 > 初中数学 > 题目详情
在平面直角坐标系xOy中,已知抛物线y=ax2+bx+c的对称轴是x=1,并且经过(-2,-5)和(5,-12)两点。
(1)求此抛物线的解析式;
(2)设此抛物线与x轴交于A、B两点(点A在点B的左侧),与y轴交于C 点,D是线段BC上一点(不与点B、C重合),若以B、O、D为顶点的三角形与△BAC相似,求点D的坐标;
(3)点P在y轴上,点M在此抛物线上,若要使以点P、M、A、B为顶点的四边形是平行四边形,请你直接写出点M的坐标。
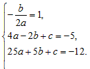
解:(1)由题意,得
解这个方程组,得
∴ 抛物线的解析式为y =-x2+2x+3。
(2)令,得
解这个方程,得
∴A(-1,0),B(3,0),
令x=0,得y=3,
∴C(3,0)


过点D作DE⊥x轴于点E,

要使
已有,则只需成立,
成立,
则有
在Rt△BDE中,由勾股定理,得,

 ∴

点D的坐标为
成立,则有
在Rt△BDE中,由勾股定理,得


∴点D的坐标为(1,2),
点D的坐标为或(1,2);
(3)点M的坐标为(2,3)或(4,-5)或(-4,-21)。
练习册系列答案
相关习题

科目:初中数学 来源: 题型:

13、在平面直角坐标系xOy中,已知点A(2,-2),在y轴上确定点P,使△AOP为等腰三角形,则符合条件的有
4
个.

查看答案和解析>>

科目:初中数学 来源: 题型:

在平面直角坐标系xOy中,已知抛物线y=ax2+bx+c的对称轴是x=1,并且经过(-2,-5)和(5,-12)两点.
(1)求此抛物线的解析式;
(2)设此抛物线与x轴交于A、B两点(点A在点B的左侧),与y轴交于C 点,D是线段BC上一点(不与点B、C重合),若以B、O、D为顶点的三角形与△BAC相似,求点D的坐标;
(3)点P在y轴上,点M在此抛物线上,若要使以点P、M、A、B为顶点的四边形是平行四边形,请你直接写出点M的坐标.

查看答案和解析>>

科目:初中数学 来源: 题型:

精英家教网如图,在平面直角坐标系xOy中,△ABC的A、B两个顶点在x轴上,顶点C在y轴的负半轴上.已知|OA|:|OB|=1:5,|OB|=|OC|,△ABC的面积S△ABC=15,抛物线y=ax2+bx+c(a≠0)经过A、B、C三点.
(1)求此抛物线的函数表达式;
(2)设E是y轴右侧抛物线上异于点B的一个动点,过点E作x轴的平行线交抛物线于另一点F,过点F作FG垂直于x轴于点G,再过点E作EH垂直于x轴于点H,得到矩形EFGH.则在点E的运动过程中,当矩形EFGH为正方形时,求出该正方形的边长;
(3)在抛物线上是否存在异于B、C的点M,使△MBC中BC边上的高为7
2
?若存在,求出点M的坐标;若不存在,请说明理由.

查看答案和解析>>

科目:初中数学 来源: 题型:

在平面直角坐标系xOy中,已知A(2,-2),B(0,-2),在坐标平面中确定点P,使△AOP与△AOB相似,则符合条件的点P共有
5
5
个.

查看答案和解析>>

科目:初中数学 来源: 题型:

如图,在平面直角坐标系xOy中,A(2,1)、B(4,1)、C(1,3).与△ABC与△ABD全等,则点D坐标为
(1,-1),(5,3)或(5,-1)
(1,-1),(5,3)或(5,-1)

查看答案和解析>>

同步练习册答案