Èçͼ£¬ÔÚÆ½ÃæÖ±½Ç×ø±êϵÖУ¬Á½¸öÈ«µÈµÄÖ±½ÇÈý½ÇÐεÄÖ±½Ç¶¥µã¼°Ò»ÌõÖ±½Ç±ßÖØºÏ£¬µãAÔÚµÚ¶þÏóÏÞÄÚ£¬µãB¡¢µãCÔÚxÖáµÄ¸º°ëÖáÉÏ£¬¡ÏCAO=30°£¬OA=4£®
£¨1£©ÇóµãCµÄ×ø±ê£»
£¨2£©Èçͼ£¬½«¡÷ACBÈÆµãC°´Ë³Ê±Õë·½ÏòÐýת30°µ½¡÷A¡äCB¡äµÄλÖã¬ÆäÖÐA¡¯C½»Ö±ÏßOAÓÚµãE£¬A¡¯B¡¯·Ö±ð½»Ö±ÏßOA¡¢CAÓÚµãF¡¢G£¬Ôò³ý¡÷A¡äB¡äC¡Õ¡÷AOCÍ⣬»¹ÓÐÄÔÈ«µÈµÄÈý½ÇÐΣ¬ÇëÖ±½Óд³ö´ð°¸£»£¨²»ÔÙÁíÍâÌí¼Ó¸¨ÖúÏߣ©
£¨3£©ÔÚ£¨2£©µÄ»ù´¡ÉÏ£¬½«¡÷A¡äCB¡äÈÆµãC°´Ë³Ê±Õë·½Ïò¼ÌÐøÐýת£¬µ±¡÷COEµÄÃæ»ýΪʱ£¬ÇóÖ±ÏßCEµÄº¯Êý±í´ïʽ£®

¡¾´ð°¸¡¿·ÖÎö£º£¨1£©Ê×ÏÈÔÚRt¡÷ACOÖУ¬¸ù¾Ý¡ÏCAO=30°½âÖ±½ÇÈý½ÇÐοÉÒԵõ½OA£¬OCµÄ³¤£¬È»ºó¾Í¿ÉÒԵõ½µãCµÄ×ø±ê£»
£¨2£©¸ù¾ÝÒÑÖªÌõ¼þÈÝÒ׵õ½¡÷A¡äEF¡Õ¡÷AGF»ò¡÷B¡äGC¡Õ¡÷CEO»ò¡÷A¡äGC¡Õ¡÷AEC£»
£¨3£©¹ýµãE1×÷E1M¡ÍOCÓÚµãM£¬ÀûÓÃS¡÷COE1=4ºÍ¡ÏE1OM=60°¿ÉÒÔÇó³öµãE1µÄ×ø±ê£¬È»ºóÀûÓôý¶¨ÏµÊý·¨È·¶¨Ö±ÏßCEµÄ½âÎöʽ£®´ËÌâÓÐÁ½ÖÖÇé¿ö£¬·Ö±ðÊÇEÔÚµÚ¶þ»òËÄÏóÏÞÀ
½â´ð£º½â£º£¨1£©¡ßÔÚRt¡÷ACOÖУ¬¡ÏCAO=30°£¬OA=4£¬
¡àOC=2£¬
¡àCµãµÄ×ø±êΪ£¨-2£¬0£©£®

£¨2£©¡÷A¡äEF¡Õ¡÷AGF»ò¡÷B¡äGC¡Õ¡÷CEO»ò¡÷A¡äGC¡Õ¡÷AEC£®

£¨3£©Èçͼ1£¬¹ýµãE1×÷E1M¡ÍOCÓÚµãM£®
¡ßS¡÷COE1=CO•E1M=£¬
¡àE1M=£®
¡ßÔÚRt¡÷E1MOÖУ¬¡ÏE1OM=60°£¬Ôò£¬
¡à£¬
¡àµãE1µÄ×ø±êΪ£¨£©£®
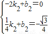
ÉèÖ±ÏßCE1µÄº¯Êý±í´ïʽΪy=k1x+b1£¬Ôò
£¬
½âµÃ£®
¡à£®
ͬÀí£¬Èçͼ2Ëùʾ£¬µãE2µÄ×ø±êΪ£¨£©£®
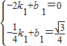
ÉèÖ±ÏßCE2µÄº¯Êý±í´ïʽΪy=k2x+b2£¬Ôò£¬
½âµÃ£®
¡à£®
µãÆÀ£º´ËÌâÊÇ¿ª·ÅÐÔÊÔÌ⣬°ÑÖ±½ÇÈý½ÇÐΡ¢È«µÈÈý½ÇÐΣ¬Ò»´Îº¯ÊýµÈ֪ʶ×ÛºÏÔÚÒ»Æð£¬ÒªÇóѧÉú¶ÔÕâЩ֪ʶ±È½ÏÊìÁ·£¬ÀûÓü¸ºÎ·½·¨½â¾ö´úÊýÎÊÌ⣮
Á·Ï°²áϵÁдð°¸
Ïà¹ØÏ°Ìâ

¿ÆÄ¿£º³õÖÐÊýѧ À´Ô´£º ÌâÐÍ£º

¾«Ó¢¼Ò½ÌÍøÈçͼ£¬ÔÚÆ½ÃæÖ±½Ç×ø±êÖУ¬ËıßÐÎOABCÊǵÈÑüÌÝÐΣ¬CB¡ÎOA£¬OA=7£¬AB=4£¬¡ÏCOA=60¡ã£¬µãPΪxÖáÉϵÄÒ»¸ö¶¯µã£¬µ«ÊǵãP²»Óëµã0¡¢µãAÖØºÏ£®Á¬½ÓCP£¬DµãÊÇÏß¶ÎABÉÏÒ»µã£¬Á¬½ÓPD£®
£¨1£©ÇóµãBµÄ×ø±ê£»
£¨2£©µ±¡ÏCPD=¡ÏOAB£¬ÇÒ
BD
AB
=
5
8
£¬ÇóÕâʱµãPµÄ×ø±ê£®

²é¿´´ð°¸ºÍ½âÎö>>

¿ÆÄ¿£º³õÖÐÊýѧ À´Ô´£º ÌâÐÍ£º

£¨2012•Óå±±ÇøÒ»Ä££©Èçͼ£¬ÔÚÆ½ÃæÖ±½Ç×ø±êxoyÖУ¬ÒÔ×ø±êÔ­µãOΪԲÐÄ£¬3Ϊ°ë¾¶»­Ô²£¬´Ó´ËÔ²ÄÚ£¨°üÀ¨±ß½ç£©µÄËùÓÐÕûÊýµã£¨ºá¡¢×Ý×ø±ê¾ùΪÕûÊý£©ÖÐÈÎÒâѡȡһ¸öµã£¬Æäºá¡¢×Ý×ø±êÖ®ºÍΪ0µÄ¸ÅÂÊÊÇ
5
29
5
29
£®

²é¿´´ð°¸ºÍ½âÎö>>

¿ÆÄ¿£º³õÖÐÊýѧ À´Ô´£º ÌâÐÍ£º

Èçͼ£¬ÔÚÆ½ÃæÖ±½Ç×ø±êÖУ¬µÈÑüÌÝÐÎABCDµÄϵ×ÔÚxÖáÉÏ£¬ÇÒBµã×ø±êΪ£¨4£¬0£©£¬Dµã×ø±êΪ£¨0£¬3£©£¬ÔòAC³¤Îª
5
5
£®

²é¿´´ð°¸ºÍ½âÎö>>

¿ÆÄ¿£º³õÖÐÊýѧ À´Ô´£º ÌâÐÍ£º

Èçͼ£¬ÔÚÆ½ÃæÖ±½Ç×ø±êxOyÖУ¬ÒÑÖªµãA£¨-5£¬0£©£¬PÊÇ·´±ÈÀýº¯Êýy=
k
x
ͼÏóÉÏÒ»µã£¬PA=OA£¬S¡÷PAO=10£¬Ôò·´±ÈÀýº¯Êýy=
k
x
µÄ½âÎöʽΪ£¨¡¡¡¡£©

²é¿´´ð°¸ºÍ½âÎö>>

¿ÆÄ¿£º³õÖÐÊýѧ À´Ô´£º ÌâÐÍ£º

Èçͼ£¬ÔÚÆ½ÃæÖ±½Ç×ø±êÖУ¬ËıßÐÎOABCÊǵÈÑüÌÝÐΣ¬CB¡ÎOA£¬OC=AB=4£¬BC=6£¬¡ÏCOA=45¡ã£¬¶¯µãP´ÓµãO³ö·¢£¬ÔÚÌÝÐÎOABCµÄ±ßÉÏÔ˶¯£¬Â·¾¶ÎªO¡úA¡úB¡úC£¬µ½´ïµãCʱֹͣ£®×÷Ö±ÏßCP£®
£¨1£©ÇóÌÝÐÎOABCµÄÃæ»ý£»
£¨2£©µ±Ö±ÏßCP°ÑÌÝÐÎOABCµÄÃæ»ý·Ö³ÉÏàµÈµÄÁ½²¿·Öʱ£¬ÇóÖ±ÏßCPµÄ½âÎöʽ£»
£¨3£©µ±¡÷OCPÊǵÈÑüÈý½ÇÐÎʱ£¬Çëд³öµãPµÄ×ø±ê£¨²»ÒªÇó¹ý³Ì£¬Ö»Ðèд³ö½á¹û£©£®

²é¿´´ð°¸ºÍ½âÎö>>

ͬ²½Á·Ï°²á´ð°¸