精英家教网 > 初中数学 > 题目详情
如图:已知平面直角坐标系xOy中的点A(0,1),B(1,0),M、N为线段AB上两动点,过点M作x轴的平行线交y轴于点E,过点N作y 轴的平行线交x轴于点F,交直线EM于点 P(x,y),且S△MPN=S△AEM+S△NFB。  
 (1)S△AOB_____S矩形EOFP(填“>”“=”或 “<”),y与x的函数关系是____(不要求写自变量的取值范围);
(2)当x=时,求∠MON的度数;
(3)证明:∠MON的度数为定值。
解:(1)=;y=
(1)当x=时,
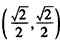
∴点P的坐标为
可得四边形EOFP为正方形(如图(1)),
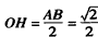
过点D作OH⊥AB于H,
∵在Rt△AOB中,OA=OB=1,

 H为AB的中点,

在Rt△EMO和Rt△HMO中,
 
∴Rt△EMO≌Rt△HMO,
∴∠1=∠2,
同理可证∠3=∠4,
∵∠1+∠2+∠3+∠4=90°,
∴∠2+∠3=45°,
∴∠MON=45 °
(3)证明:如图(2),过点O作OH⊥AB 于H,
依题意,可得OE=y=,EM=1-y=1-
HN=HB-NB=
∴EM/OE=HN/OH,
又∵∠OEM=∠OHN=90°,
∴△EMO∽△HNO,
∴∠1=∠3,
同理可证∠2=∠4,
∵∠1+∠2+∠3+∠4=90°,
∴∠2+∠3 =45°,
即∠MON=45°。
练习册系列答案
相关习题

科目:初中数学 来源:2012年初中毕业升学考试(四川巴中卷)数学(解析版) 题型:解答题

如图,在平面直角坐标系中,一次函数的图象与y轴交于点A,

与x轴交于点B,与反比例函数的图象分别交于点M,N,已知△AOB的面积为1,点M的纵坐

标为2,

(1)求一次函数和反比例函数的解析式;

(2)直接写出时x的取值范围。

 

查看答案和解析>>

科目:初中数学 来源:2013届安徽滁州八年级下期末模拟数学试卷(沪科版)(解析版) 题型:解答题

已知:如图1,平面直角坐标系中,四边形OABC是矩形,点A,C的坐

标分别为(6,0),(0,2).点D是线段BC上的一个动点(点D与点B,C不重合),过点D作直线=-交折线O-A-B于点E.

(1)在点D运动的过程中,若△ODE的面积为S,求S与的函数关系式,并写出自变量的取值范围;

(2)如图2,当点E在线段OA上时,矩形OABC关于直线DE对称的图形为矩形O′A′B′C′,C′B′分别交CB,OA于点D,M,O′A′分别交CB,OA于点N,E.求证:四边形DMEN是菱形;

(3)问题(2)中的四边形DMEN中,ME的长为____________.

    

 

查看答案和解析>>

同步练习册答案