精英家教网 > 初中数学 > 题目详情
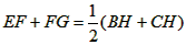
如图(1),在△ABC中,AE=EB,AF=FC,则EF与BC存在以下关系:EF∥BC,将AC沿BC方向平移到DH,得图(2),沿CB方向平移到DH得图(3),图(2)中AD与BH存在关系:EF∥AD,,那么在图(3)中是否有类似于图(1)(2)中的结论,请把猜想的结论填在方框内,并就图(3)的结论加以证明。

解:因为AD//EG//BC,DH//AC,
所以四边形AGFDA为平行四边形,
所以AD=FG,
因为EG是△ABC的中位线,
所以
所以
所以
练习册系列答案
相关习题

科目:初中数学 来源: 题型:

如图a,矩形ABCD的两条边在坐标轴上,点D与原点重合,对角线BD所在直线函数式为y=
34
x
,AD=8,矩形ABCD沿DB方向以每秒一个单位长度运动,同时点P从点A出发做匀速运动,沿矩形ABCD的边经B到达终点C,用了14秒.
(1)求矩形ABCD周长;
(2)如图b,当P到达B时,求点P坐标;
(3)当点P在运动时,过点P作x轴、y轴的垂线,垂足分别为E、F,
①如图c,当P在BC上运动时,矩形PEOF的边能否与矩形ABCD的边对应成比例?若能,求出时间t的值,若不能,说明理由;
②如图d,当P在AB上运动时,矩形PEOF的面积能否等于256?若能,求出时间t的值,若不能,说明理由;
精英家教网

查看答案和解析>>

科目:初中数学 来源: 题型:

28、如图,C、E分别在AB、DF上,小华想知道∠ACE和∠DEC是否互补,但是他有没有带量角器,只带了一副三角尺,于是他想了这样一个办法:首先连接CF,再找出CF的中点O,然后连接EO并延长EO和直线AB相交于点B,经过测量,他发现EO=BO,因此他得出结论:∠ACE和∠DEC互补,而且他还发现BC=EF.以下是他的想法,请你填上根据.
小华是这样想的:因为CF和BE相交于点O,
根据
对顶角相等
得出∠COB=∠EOF;
而O是CF的中点,那么CO=FO,又已知EO=BO,
根据
两边对应相等且夹角相等的两三角形全等
得出△COB≌△FOE,
根据
全等三角形对应边相等
得出BC=EF,
根据
全等三角形对应角相等
得出∠BCO=∠F,
既然∠BCO=∠F根据
内错角相等,两直线平行
、得出AB∥DF,
既然AB∥DF,根据
两直线平行,同旁内角互补
.得出∠ACE和∠DEC互补.

查看答案和解析>>

科目:初中数学 来源: 题型:

已知,如图1,直角梯形ABCD,AB⊥BC,AB=BC=nAD,AE⊥BD于点E,过E作CE的垂线交直线AB于点F.
(1)当n=4时,则
AE
BE
=
 
ED
BE
=
 

(2)当n=2时,求证:BF=AF;
(3)如图2,F点在AB的延长线上,当n=
 
时,B为AF的中点;如图3,将图形1中的线段AD沿AB翻折,其它条件不变,此时F点在AB的反向延长线上,当n=
 
时,A为BF的中点.
精英家教网

查看答案和解析>>

科目:初中数学 来源: 题型:

Rt△ABC中,AC=BC,P为直线AB上一点,以CP为边作正方形CPED,连CE.
(1)如图1,当P为AB的中点,A、E重合时,BP2、AP2、CE2之间的关系是
BP2+AP2=CE2
BP2+AP2=CE2

(2)如图2,当P在AB上运动时,探究BP,AP,CE之间的关系.
(3)如图3,当P在AB的延长线上时,作出图形,并指出②中结论是否成立?(不要求证明)

查看答案和解析>>

科目:初中数学 来源: 题型:

同学们都知道,平面内两条直线的位置关系只有相交和平行两种.
已知AB∥CD.如图1,点P在AB、CD外部时,由AB∥CD,有∠B=∠BOD,又因为∠BOD是△POD的外角,故∠BOD=∠BPD+∠D,得∠BPD=∠B-∠D.
(1)已知AB∥CD.如图2,点P在AB、CD内部时,上述结论是否成立?若不成立,则∠BPD、∠B、∠D之间有何数量关系?请你说明你的结论;
(2)在图2中,将直线AB绕点B逆时针方向旋转一定角度交直线CD于点Q,如图3,则∠BPD、∠B、∠D、∠BQD之间有何数量关系?说明理由;
(3)利用第(2)小题的结论求图4中∠A+∠B+∠C+∠D+∠E+∠F的度数.

查看答案和解析>>

同步练习册答案