精英家教网 > 初中数学 > 题目详情
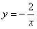
已知一次函数y=kx+b的图象与反比例函数的图象交于A(-2,1),B(1,n)两点。
(1)求反比例函数的解析式和B点的坐标;
(2)在同一直角坐标系中画出这两个函数的图象的示意图,并观察图象回答:当x为何值时,一次函数的值大于反比例函数的值?
(3)直接写出将一次函数的图象向右平移1个单位长度后所得函数图象的解析式。
解:(1),   B(1,-2);
(2)图“略”,x<-2或0<x<1时;  
(3)y=-x。
练习册系列答案
相关习题

科目:初中数学 来源: 题型:

精英家教网已知一次函数y=kx+2的图象经过A(-1,1).
(1)求此一次函数的解析式;
(2)求这个一次函数图象与x轴的交点B的坐标;画出函数图象;
(3)求△AOB的面积.

查看答案和解析>>

科目:初中数学 来源: 题型:

5、已知一次函数y=kx-1,若y随x的增大而减小,则该函数的图象经过(  )象限.

查看答案和解析>>

科目:初中数学 来源: 题型:

如图,已知一次函数y=kx+b(k、b为常数)的图象与反比例函数y=
mx
(m为常数,精英家教网m≠0)的图象相交于点 A(1,3)、B(n,-1)两点.
(1)求上述两个函数的解析式;
(2)如果M为x轴正半轴上一点,N为y轴负半轴上一点,以点A,B,N,M为顶点的四边形是平行四边形,求直线MN的函数解析式.

查看答案和解析>>

科目:初中数学 来源: 题型:

已知一次函数y=kx+b的图象如图所示,指出k、b的符号,并求出k和b的值.

查看答案和解析>>

科目:初中数学 来源: 题型:

已知一次函数y=kx+2,当x=5时,y的值为4,求k的值.

查看答案和解析>>

同步练习册答案