精英家教网 > 初中数学 > 题目详情
抛掷红、蓝两枚六面编号分别为1~6(整数)的质地均匀的正方体骰子,将红色和蓝色骰子正面朝上的编号分别作为二次函数的一次项系数m和常数项n的值。
(1)问这样可以得到多少个不同形式的二次函数?(只需写出结果)
(2)请求出抛掷红、蓝骰子各一次,得到的二次函数图象顶点恰好在轴上的概率是多少?并说明理由。
解:(1)可以得到36个不同形式的二次函数。
(2)
∵二次函数图象顶点在轴上,
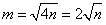
,即(其中n,m为1~6的整数),
根据上式可知,当n取1~6中的完全平方数时上式才可能成立。
∴n的值只能取完全平方数1和4,
通过计算可知,当满足
 由此抛掷红、蓝骰子各一次,得到的二次函数图象顶点在轴上的概率是
练习册系列答案
相关习题

科目:初中数学 来源: 题型:

抛掷红、蓝两枚六面编号分别为1~6(整数)的质地均匀的正方体骰子,将红色和蓝色骰子正面朝上的编号分别作为二次函数y=x2+mx+n的一次项系数m和常数项n的值.
(1)问这样可以得到多少个不同形式的二次函数?(只需写出结果)
(2)请求出抛掷红、蓝骰子各一次,得到的二次函数图象顶点恰好在x轴上的概率是多少并说明理由.

查看答案和解析>>

科目:初中数学 来源: 题型:

抛掷红、蓝两枚六面编号分别为0-5(整数)的质地均匀的正方体骰子,将红色和蓝色骰子正面朝上的编号分别作为m和n.
(1)用树状图或列表说明可以得到多少个不同的(m,n)组合;
(2)如果把(m,n)作为点的坐标,求这些点在直线y=x上的概率?

查看答案和解析>>

科目:初中数学 来源: 题型:

抛掷红、蓝两枚六面编号分别为1~6(整数)的质地均匀的正方体骰子,将红色和蓝色骰子正面朝上的编号分别作为一元一次方程ax+b=0的一次项系数a和常数项b的值,求抛掷红、蓝骰子各一次,得到的一元一次方程有整数解的概率.

查看答案和解析>>

科目:初中数学 来源:第34章《二次函数》中考题集(16):34.3 二次函数的图象和性质(解析版) 题型:解答题

抛掷红、蓝两枚六面编号分别为1~6(整数)的质地均匀的正方体骰子,将红色和蓝色骰子正面朝上的编号分别作为二次函数y=x2+mx+n的一次项系数m和常数项n的值.
(1)问这样可以得到多少个不同形式的二次函数?(只需写出结果)
(2)请求出抛掷红、蓝骰子各一次,得到的二次函数图象顶点恰好在x轴上的概率是多少并说明理由.

查看答案和解析>>

科目:初中数学 来源:2009-2010学年浙江省舟山市西乡片教育联合体九年级(上)月考数学试卷(解析版) 题型:解答题

抛掷红、蓝两枚六面编号分别为1~6(整数)的质地均匀的正方体骰子,将红色和蓝色骰子正面朝上的编号分别作为二次函数y=x2+mx+n的一次项系数m和常数项n的值.
(1)问这样可以得到多少个不同形式的二次函数?(只需写出结果)
(2)请求出抛掷红、蓝骰子各一次,得到的二次函数图象顶点恰好在x轴上的概率是多少并说明理由.

查看答案和解析>>

同步练习册答案