精英家教网 > 初中数学 > 题目详情

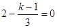
如果关于的方程2+1=3和方程的解相同,那么的值为________ .

7

解析试题考查知识点:一元一次方程
思路分析:联立二式解方程组;或者解出x代入到另一个方程中
具体解答过程:
解方程2+1=3得:x=1
∵关于的方程2+1=3和方程的解相同
∴x=1也是方程的解
把x=1代入到方程中得:

解之得:k=7
试题点评:

练习册系列答案
相关习题

科目:初中数学 来源: 题型:

如果关于的方程为常数)有两个相等的实数根,那么k=

查看答案和解析>>

科目:初中数学 来源: 题型:

如果关于的方程2- =0和方程2+1=3的解相同,求k的值

查看答案和解析>>

科目:初中数学 来源: 题型:

如果关于的方程没有实数根,则的取值范围为_____________.

查看答案和解析>>

科目:初中数学 来源: 题型:

如果关于的方程与方程是同解方程,则=      .

查看答案和解析>>

科目:初中数学 来源:2011年湖南省长沙市九年级毕业学业考试模拟试卷(三)数学卷 题型:填空题

如果关于的方程为常数)有两个相等的实数根,那么     

 

查看答案和解析>>

同步练习册答案