精英家教网 > 初中数学 > 题目详情
如图,正方形OA1B1C1的边长为1,以O为圆心、OA1为半径作扇形OA1C1与OB1相交于点B2,设正方形OA1B1C1与扇形OA1C1之间的阴影部分的面积为S1;然后以OB2为对角线作正方形OA2B2C2,又以O为圆心,OA2为半径作扇形OA2C2与OB1相交于点B3,设正方形OA2B2C2与扇形OA2C2之间的阴影部分面积为S2;按此规律继续作下去,设正方形OAnBnCn与扇形OAnCn之间的阴影部分面积为Sn

(1)求S1,S2,S3
(2)写出S2008
(3)试猜想Sn(用含n的代数式表示,n为正整数)。
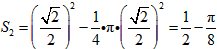
解:(1)


(2)
(3)(n为整数)
练习册系列答案
相关习题

科目:初中数学 来源: 题型:

如图,正方形ABCD的边长为5,P为DC上一点,设DP=x,△APD的面积为y,关于y与x的函数关系式为:y=
5
2
x
,则自变量的取值范围为(  )

查看答案和解析>>

科目:初中数学 来源: 题型:

如图,正方形ABCD的边长为1,以对角线AC为边作第二个正方形ACEF,再以对角线AE为边作第三个正方形AEGH,如此下去…记正方形ABCD的边为a1=1,按上述方法所作的正方形的边长依次为a2、a3、a4、…an,根据以上规律写出
a
2
n
的表达式
2n-1
2n-1

查看答案和解析>>

科目:初中数学 来源: 题型:

如图,正方形的周长为8cm,则矩形EFBG的周长为
4cm
4cm

查看答案和解析>>

科目:初中数学 来源: 题型:

如图,正方形ABCD,BE⊥ED,连接BD,CE.
(1)求证:∠EBD=∠ECD;
(2)设EB,EC交AD于F,G两点,若AF=2FG,探究线段CG与DG之间的数量关系并证明.

查看答案和解析>>

科目:初中数学 来源: 题型:

如图,正方形网格中的每个小正方形的边长都是1,△ABC的顶点都在格点上,请在给定的网格中按画图:
(1)画出△ABC向下平移4个单位长度后的△A1B1C1
(2)画出△ABC绕点A逆时针方向旋转90°后的△AB2C2

查看答案和解析>>

同步练习册答案