精英家教网 > 初中数学 > 题目详情
已知:如图,AB是⊙O的直径,C是⊙O上一点, 过C点的切线与AB的延长线交于点D,CE∥AB交⊙O于点E ,连结AC、BC、AE。
(1)求证:①∠DCB=∠CAB; 
②CD·CE=CB·CA;
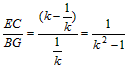
(2)作CG⊥AB于点G。若(k>1),求的值(用含k的式子表示)。
(1)证明:①如图1,
解法一:作直径CF,连结BF
∴ ∠CBF=90°,
则 ∠CAB=∠F =90°-∠1
∵ CD切⊙O于C,
∴ OC⊥CD ,
则 ∠BCD =90°-∠1
∴ ∠BCD =∠CAB

解法二:如图2,连结OC
∵ AB是直径,
∴ ∠ACB=90°
则∠2 =90°-∠OCB
∵ CD切⊙O于C,
∴ OC⊥CD
则 ∠BCD =90°-∠OCB
∴ ∠BCD =∠2
∵ OA=OC,
∴ ∠2 =∠CAB
∴ ∠BCD =∠CAB 
② ∵ EC∥AB ,∠BCD =∠3,
∴ ∠4 =∠3=∠BCD
∵ ∠CBD+∠ABC=180°,
∵ ∠AEC+∠ABC=180°,
∴ ∠CBD=∠AEC
∴ △ACE∽△DCB



(2)连结EB,交CG于点H,
∵ CG⊥AB于点G, ∠ACB=90°
∴ ∠3=∠BCG
∵ ∠3 =∠4

∴ ∠3=∠EBG
∴ ∠BCG=∠EBG
(k>1),
∴ 在Rt△HGB中,
在Rt△BCG中,
设HG =a,则BG= ka,CG= k2a。CH=CG-HG=(k2-1)a
∵ EC∥AB ,
∴ △ECH∽△BGH

解法二: 如图3,
作直径FC,连结FB、EF,则∠CEF=90°
∵CG⊥AB于点G,
在Rt△ACG中,
设CG =a,则AG= ka,,CF=AB=AG+BF=()a
∵ EC∥AB , ∠CEF=90°,
∴直径AB⊥EF
∴EF=2CG= a
EC=


解法三:如图4,
作EP⊥AB于点P,
在Rt△ACG中,
设CG =a,则AG= ka,
可证△AEP≌△BCG,
则有
EC=AG-AP=

练习册系列答案
相关习题

科目:初中数学 来源: 题型:

22、已知:如图,AB是⊙O的直径,BC是和⊙O相切于点B的切线,⊙O的弦AD平行于OC.
求证:DC是⊙O的切线.

查看答案和解析>>

科目:初中数学 来源: 题型:

(2013•门头沟区一模)已知:如图,AB是⊙O的直径,AC是⊙O的弦,M为AB上一点,过点M作DM⊥AB,交弦AC于点E,交⊙O于点F,且DC=DE.
(1)求证:DC是⊙O的切线;
(2)如果DM=15,CE=10,cos∠AEM=
513
,求⊙O半径的长.

查看答案和解析>>

科目:初中数学 来源: 题型:

(1997•昆明)已知:如图,AB是⊙O的直径,直线MN切⊙O于点C,AD⊥MN于D,AD交⊙O于E,AB的延长线交MN于点P.求证:AC2=AE•AP.

查看答案和解析>>

科目:初中数学 来源: 题型:

(2012•平谷区二模)已知,如图,AB是⊙O的直径,点E是
AD
的中点,连接BE交AC于点G,BG的垂直平分线CF交BG于H交AB于F点.
(1)求证:BC是⊙O的切线;
(2)若AB=8,BC=6,求BE的长.

查看答案和解析>>

科目:初中数学 来源: 题型:

已知:如图,AB是⊙O的直径,BC为⊙O的切线,过点B的弦BD⊥OC交⊙O于点D,垂足为E.
(1)求证:CD是⊙O的切线;
(2)当BC=BD,且BD=12cm时,求图中阴影部分的面积(结果不取近似值).

查看答案和解析>>

同步练习册答案