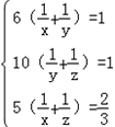
ij¹¤³ÌÓɼס¢ÒÒÁ½¶ÓºÏ×÷6ÌìÍê³É£¬³§¼ÒÐ踶¼×¡¢ÒÒÁ½¶Ó¹¤³Ì·Ñ8 700Ôª£¬ÒÒ¡¢±û¶ÓºÏ×÷10ÌìÍê³É£¬³§¼ÒÐ踶ÒÒ¡¢±ûÁ½¶Ó¹¤³Ì·Ñ9 500Ôª£¬¼×¡¢±ûÁ½¶ÓºÏ×÷5ÌìÍê³ÉÈ«²¿¹¤³ÌµÄ£¬³§¼ÒÐ踶¼×¡¢±ûÁ½¶Ó¹¤³Ì·Ñ5 500Ôª£®
£¨1£©Çó¼×¡¢ÒÒ¡¢±û¸÷¶Óµ¥¶ÀÍê³ÉÈ«²¿¹¤³Ì£¬¸÷Ðè¶àÉÙÌ죮
£¨2£©Èô¹¤ÆÚÒªÇó²»³¬¹ý15ÌìÍê³ÉÈ«²¿¹¤³Ì£¬ÔòÓÉÄĸö¶Óµ¥¶ÀÍê³É´ËÏ³ÌËùÐèµÄ·ÑÓÃ×îÉÙ£¿Çë˵Ã÷ÀíÓÉ£®
½â£º£¨1£©Éè¼×¡¢ÒÒ¡¢±û¸÷¶ÓÍê³ÉÕâÏ³ÌËùÐèҪʱ¼ä·Ö±ðΪxÌì¡¢yÌì¡¢zÌ죮
¸ù¾ÝÌâÒ⣬µÃ£º
½âµÃ£ºx=10£¬y=15£¬z=30£®
¾­¼ìÑ飺x=10£¬y=15£¬z=30ÊÇÔ­·½³ÌµÄ½â£¬ÇÒ·ûºÏÌâÒ⣮
´ð£º¼×¡¢ÒÒ¡¢±û¸÷¶Óµ¥¶ÀÍê³ÉÈ«²¿¹¤³Ì·Ö±ðÐè10Ìì¡¢15Ìì¡¢30Ì죮
£¨2£©Éè¼×¡¢ÒÒ¡¢±û¸÷¶Ó¹¤×÷Ò»Ì죬³§¼ÒÐ踶±¨³ê·Ö±ðΪaÔª¡¢bÔª¡¢cÔª£®
¸ù¾ÝÌâÒâµÃ£º½âµÃ£®
±û¶Ó¹¤×÷30ÌìÊ×ÏÈÅųý£»
¼×¶ÓÍê³ÉÏîÄ¿ËùÐè·ÑÓÃΪax=8000Ôª£»
ÒÒ¶ÓÍê³ÉÏîÄ¿ËùÐè·ÑÓÃΪby=650¡Á15=9750Ôª£®
´ð£º¼×¶Óµ¥¶ÀÍê³É´ËÏ³ÌËùÐèµÄ·ÑÓÃ×îÉÙ£®
Á·Ï°²áϵÁдð°¸
Ïà¹ØÏ°Ìâ

¿ÆÄ¿£º³õÖÐÊýѧ À´Ô´£º ÌâÐÍ£º

ij¹¤³ÌÓɼס¢ÒÒÁ½¶ÓºÏ×ö6ÌìÍê³É£¬³§¼ÒÐ踶¼×¡¢ÒÒÁ½¶Ó¹²4350Ôª£»ÒÒ¡¢±ûÁ½¶ÓºÏ×ö10ÌìÍê³É£¬³§¼ÒÐ踶ÒÒ¡¢±ûÁ½¶Ó¹²4750Ôª£»¼×¡¢±ûÁ½¶ÓºÏ×ö5ÌìÍê³ÉÈ«²¿¹¤³ÌµÄ
23
£¬³§¼ÒÐ踶¼×¡¢±ûÁ½¶Ó¹²2750Ôª£®
£¨1£©Çó¼×¡¢ÒÒ¡¢±û¸÷¶Óµ¥¶ÀÍê³ÉÈ«²¿¹¤³Ì¸÷Ðè¶àÉÙÌ죿
£¨2£©Èô¹¤ÆÚÒªÇó²»³¬¹ý20ÌìÍê³ÉÈ«²¿¹¤³Ì£¬ÎÊ¿ÉÓÉÄĶӵ¥¶ÀÍê³É´ËÏ³Ì»¨Ç®×îÉÙ£¿Çë˵Ã÷ÀíÓÉ£®

²é¿´´ð°¸ºÍ½âÎö>>

¿ÆÄ¿£º³õÖÐÊýѧ À´Ô´£º ÌâÐÍ£º

ij¹¤³ÌÓɼס¢ÒÒÁ½¶ÓºÏ×ö6ÌìÍê³É£¬³§¼ÒÐ踶¼×¡¢ÒÒÁ½¶Ó¹²8700Ôª£»ÒÒ¡¢±ûÁ½¶ÓºÏ×ö10ÌìÍê³É£¬³§¼ÒÐ踶ÒÒ¡¢±ûÁ½¶Ó¹²9500Ôª£»¼×¡¢ÒÒ¡¢±ûÁ½¶ÓºÏ×÷5ÌìÍê³ÉÈ«²¿¹¤³ÌµÄ
23
£¬³§¼ÒÐ踶¼×¡¢±ûÁ½¶Ó¹²5500Ôª£®
£¨1£©Çó¼×¡¢ÒÒ¡¢±û¸÷¶Óµ¥¶ÀÍê³ÉÈ«²¿¹¤³Ì¸÷Ðè¶àÉÙ£¿
£¨2£©Èô¹¤ÆÚÒªÇó²»³¬¹ý15ÌìÍê³ÉÈ«²¿¹¤³Ì£¬ÎÊ¿ÉÓÉÄĶӵ¥¶ÀÍê³É´ËÏ³Ì»¨Ç®×îÉÙ£¿Çë˵Ã÷ÀíÓÉ£®

²é¿´´ð°¸ºÍ½âÎö>>

¿ÆÄ¿£º³õÖÐÊýѧ À´Ô´£º ÌâÐÍ£º½â´ðÌâ

ij¹¤³ÌÓɼס¢ÒÒÁ½¶ÓºÏ×ö6ÌìÍê³É£¬³§¼ÒÐ踶¼×¡¢ÒÒÁ½¶Ó¹²4350Ôª£»ÒÒ¡¢±ûÁ½¶ÓºÏ×ö10ÌìÍê³É£¬³§¼ÒÐ踶ÒÒ¡¢±ûÁ½¶Ó¹²4750Ôª£»¼×¡¢±ûÁ½¶ÓºÏ×ö5ÌìÍê³ÉÈ«²¿¹¤³ÌµÄÊýѧ¹«Ê½£¬³§¼ÒÐ踶¼×¡¢±ûÁ½¶Ó¹²2750Ôª£®
£¨1£©Çó¼×¡¢ÒÒ¡¢±û¸÷¶Óµ¥¶ÀÍê³ÉÈ«²¿¹¤³Ì¸÷Ðè¶àÉÙÌ죿
£¨2£©Èô¹¤ÆÚÒªÇó²»³¬¹ý20ÌìÍê³ÉÈ«²¿¹¤³Ì£¬ÎÊ¿ÉÓÉÄĶӵ¥¶ÀÍê³É´ËÏ³Ì»¨Ç®×îÉÙ£¿Çë˵Ã÷ÀíÓÉ£®

²é¿´´ð°¸ºÍ½âÎö>>

¿ÆÄ¿£º³õÖÐÊýѧ À´Ô´£º1999ÄêÈ«¹úÖп¼ÊýѧÊÔÌâ»ã±à¡¶·Öʽ·½³Ì¡·£¨01£©£¨½âÎö°æ£© ÌâÐÍ£º½â´ðÌâ

£¨1999•Ìì½ò£©Ä³¹¤³ÌÓɼס¢ÒÒÁ½¶ÓºÏ×ö6ÌìÍê³É£¬³§¼ÒÐ踶¼×¡¢ÒÒÁ½¶Ó¹²8700Ôª£»ÒÒ¡¢±ûÁ½¶ÓºÏ×ö10ÌìÍê³É£¬³§¼ÒÐ踶ÒÒ¡¢±ûÁ½¶Ó¹²9500Ôª£»¼×¡¢ÒÒ¡¢±ûÁ½¶ÓºÏ×÷5ÌìÍê³ÉÈ«²¿¹¤³ÌµÄ£¬³§¼ÒÐ踶¼×¡¢±ûÁ½¶Ó¹²5500Ôª£®
£¨1£©Çó¼×¡¢ÒÒ¡¢±û¸÷¶Óµ¥¶ÀÍê³ÉÈ«²¿¹¤³Ì¸÷Ðè¶àÉÙ£¿
£¨2£©Èô¹¤ÆÚÒªÇó²»³¬¹ý15ÌìÍê³ÉÈ«²¿¹¤³Ì£¬ÎÊ¿ÉÓÉÄĶӵ¥¶ÀÍê³É´ËÏ³Ì»¨Ç®×îÉÙ£¿Çë˵Ã÷ÀíÓÉ£®

²é¿´´ð°¸ºÍ½âÎö>>

¿ÆÄ¿£º³õÖÐÊýѧ À´Ô´£º1999ÄêÌì½òÊÐÖп¼ÊýѧÊÔ¾í£¨½âÎö°æ£© ÌâÐÍ£º½â´ðÌâ

£¨1999•Ìì½ò£©Ä³¹¤³ÌÓɼס¢ÒÒÁ½¶ÓºÏ×ö6ÌìÍê³É£¬³§¼ÒÐ踶¼×¡¢ÒÒÁ½¶Ó¹²8700Ôª£»ÒÒ¡¢±ûÁ½¶ÓºÏ×ö10ÌìÍê³É£¬³§¼ÒÐ踶ÒÒ¡¢±ûÁ½¶Ó¹²9500Ôª£»¼×¡¢ÒÒ¡¢±ûÁ½¶ÓºÏ×÷5ÌìÍê³ÉÈ«²¿¹¤³ÌµÄ£¬³§¼ÒÐ踶¼×¡¢±ûÁ½¶Ó¹²5500Ôª£®
£¨1£©Çó¼×¡¢ÒÒ¡¢±û¸÷¶Óµ¥¶ÀÍê³ÉÈ«²¿¹¤³Ì¸÷Ðè¶àÉÙ£¿
£¨2£©Èô¹¤ÆÚÒªÇó²»³¬¹ý15ÌìÍê³ÉÈ«²¿¹¤³Ì£¬ÎÊ¿ÉÓÉÄĶӵ¥¶ÀÍê³É´ËÏ³Ì»¨Ç®×îÉÙ£¿Çë˵Ã÷ÀíÓÉ£®

²é¿´´ð°¸ºÍ½âÎö>>

ͬ²½Á·Ï°²á´ð°¸