精英家教网 > 初中物理 > 题目详情
在如图所示的电路中,电源电压为6V,当开关闭合时,电流表的示数为0.5A.已知电阻R2的阻值为6Ω,
求:(1)电阻R1的阻值;
(2)通电10秒电流对电阻R1、R2所做的总功.

【答案】分析:在并联电路中,知道一条支路的电阻、另一条支路的电流和电源电压,可以求两个电阻剩余的各个量,再知道时间,消耗的电能(做功多少)也可求出.
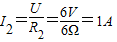
解答:解:(1)
(2)
W1=UI1t=6V×0.5A×10s=30J
W2=UI2t=6V×1A×10s=60J
答:(1)电阻R1的阻值为12Ω;
(2)通电10秒电流对电阻R1、R2所做的总功分别为30J、60J
点评:一、灵活运用并联电路特点(I=I1+I2、U=U1=U2);二、使用欧姆定律、电功公式时注意三量同体.
练习册系列答案
相关习题

科目:初中物理 来源: 题型:

在如图所示的电路中,开关S闭合后,小灯泡L1L2均正常发光,则下列说法中正确的是(  )

查看答案和解析>>

科目:初中物理 来源: 题型:

(2011?杨浦区二模)在如图所示的电路中,电源电压保持不变,当电键S由断开到闭合时,电压表V的示数将
不变
不变
.闭合电键S后,当滑动变阻器滑片P向右移动时,电压表V的示数将
不变
不变
,电流表A1的示数将
不变
不变
,电流表A、A1示数差将
变小
变小
(选填“变小”、“不变”或“变大”)

查看答案和解析>>

科目:初中物理 来源: 题型:

(2012?南通模拟)在如图所示的电路中,R1=10Ω,R2=20Ω,闭合开关后,电流表的示数为0.3A.求:
(1)电阻R1两端的电压;  
(2)电源的电压;
(3)电路消耗的总功率.

查看答案和解析>>

科目:初中物理 来源: 题型:

在如图所示的电路中,AB是一段电阻丝,当开关闭合,导线夹由B向A移动的过程中,接入电路的电阻的变化情况是(  )

查看答案和解析>>

科目:初中物理 来源: 题型:

精英家教网在如图所示的电路中,小灯泡和电铃采用的是
 
联连接方式;在这两种用电器中,
 
工作时需要将电能转化为内能.

查看答案和解析>>

同步练习册答案