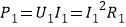
【题目】如图所示,电源电压不变,下列说法正确的是
![]()
A. 只闭合S1,将P向左移动一段距离,电压表示数的变化量与电流表示数的变化量的比值不变
B. 只闭合S1,将P向左移动,R1消耗的功率增加
C. 开关都闭合,将P向左移动,L消耗的功率不变,R2消耗的功率变小
D. 开关都闭合,将P向左移动,电压表的示数不变,电流表的示数变大
【答案】AC
【解析】
AB、分析电路的连接,根据串联电路电压的规律和欧姆定律,由合分比定理判断比值的变化;
根据电阻的串联规律判断总电阻的变化,由欧姆定律确定电路中电流变化,根据
确定消耗的功率变化;CD、分析电路的连接及电表测量的量,根据
,根据并联电路电压的规律,判断变阻器R2的功率和灯的功率的变化;
根据欧姆定律,确定通过通过灯与为变阻器的电流的变化,根据并联电路电流的规律,确定总电流即电流表示变化。
AB、闭合S1,变阻器与R1串联,电压表测变阻器的电压,电流表测电路中的电流,将P向左移动一段距离,R2 变大,根据串联电路电压的规律,R2 的电压变化量等于R1的电压变化量,故电压表示数的变化量与电流表示数的变化量的比值即为R1的电压变化量与电流表示数的变化量的比值,根据欧姆定律,
,由合分比定律,
,故电压表示数的变化量与电流表示数的变化量的比值不变。A正确;
将P向左移动过程中,由电阻的串联规律,总变大,电路中电流变小,R1消耗的功率
,因通过电路的电流变小,故R1消耗的功率P1变小;B错误;
CD、开关都闭合,R1短路,变阻器与灯并联,电压表测电源电压,电流表测电路中电流,将P向左移动,变阻器连入电路中的电阻变大,根据
,因变阻器R2的电压为电源电压保持不变,变阻器R2的功率变小;因灯的电压为电源电压保持不变,故灯的电功率不变,C正确;
因变阻器R2连入电路中的电阻变大,根据欧姆定律,通过其的电流变小,而通过灯的电流不变,根据并联电路电流的规律,总电流即电流表示变小,D错误。
故选:AC。
科目:初中物理 来源: 题型:
【题目】发电机是利用_____的原理发电的,将机械能转化为电能;太阳能热水箱是将太阳能转化为内能的装置。小明家的太阳能热水器的水箱中装有初温为15℃,质量为50kg的水,集热管每小时接收的太阳能为1.89×107J,则每小时该热水器里的水能升高的温度是_____℃.[不及热量损失,c水=4.2×103J/(kg℃)]。
查看答案和解析>>
科目:初中物理 来源: 题型:
【题目】如图用一细绳拴住体积为0.6dm3重为4N的木块,使它浸没在水中,此时绳的拉力为_____N;若剪断细绳,当木块静止时水面将_____ (选填“上升”、“下降”或“不变”)。
![]()
查看答案和解析>>
科目:初中物理 来源: 题型:
【题目】为了测量某种液体的密度,“艾学习”同学设计了如下实验步骤:
![]()
A.用测力计测出小金属块在空气中的重力为G
B.将适量的待测液体倒入量筒中,读数为V1
C.将测力计下面所挂小金属块完全浸没在量筒里的液体中,静止时测力计读数为F1
D.记下金属块浸没在液体中时,量筒内液面处读数为V2。
E.快速提起液体中的小金属块,读出此时测力计示数为F2和量筒液面处读数为V3。
问题:(1)为减少误差,合理的实验顺序编号为_____;
(2)用实验步骤中的测量值符号(和g)表示该液体的密度ρ=_____。
查看答案和解析>>
科目:初中物理 来源: 题型:
【题目】如图所示是“探究电流通过导体时产生热量的多少与什么因素有关”的实验装置,两个透明容器中密闭着等量的空气,R1=R2=R3,当开关S闭合后,下列说法正确的是
![]()
A. 该实验装置是探究电流通过电阻时产生的热量与电阻大小的关系
B. 通过电阻R1和R2的电流相等
C. 通电一段时间后,右边U形管内液面的高度差比左边小
D. 该实验装置是利用U形管中液体的热胀冷缩来反映电阻放出热量的多少的
查看答案和解析>>
科目:初中物理 来源: 题型:
【题目】在“测量小灯泡电功率”的实验中,小灯泡的额定电压为2.5V,正常发光时的电阻为10Ω,有两个规格为“10Ω 1A”、“50Ω 2A”的滑动变阻器,电源电压为6V.
![]()
(1)本实验中应选择规格为_____的滑动变阻器。
(2)将图甲中的实物电路连接完整,并在图乙的线框内画出电路图。
(_____)
(3)移动滑动变阻器的滑片P在某一位置时电流表示数如图丙所示为_____A,此时小灯泡的电功率_____(选填“大于”或“小于”)额定功率。
(4)用图甲所示的实验电路也可以测量电阻,若考虑电压表的分流作用,那么测量值要比真实值_____(选填“大”或“小”)
查看答案和解析>>
科目:初中物理 来源: 题型:
【题目】如图,R1为定值电阻,R2为滑动变阻器,电源电压保持不变闭合S,当R2的滑片P向右滑动的过程中,下列说法正确的是( )
![]()
A. 电压表V的示数变大
B. 电流表A2的示数变小
C. 电压表V的示数与电流表A1的示数的乘积变大
D. 电压表V的示数与电流表A1的示数的比值变大
查看答案和解析>>
科目:初中物理 来源: 题型:
【题目】二极管是一种由半导体材料制成电子元件,它的符号为
.小明以图甲的方式把二极管接入电路,闭合开关电流表有示数,小灯泡发光;把二极管反向后再接回原处(如图乙),闭合开关灯泡不亮,电流表无示数,根据这一特点,如果小明接成图丙所示电路,则关于此电路下列说法正确的是
![]()
A. 灯泡不工作,电流表没有示数
B. 灯泡工作,电流表没有示数
C. 灯泡不工作,电流表有示数
D. 灯泡工作,电流表有示数
查看答案和解析>>
科目:初中物理 来源: 题型:
【题目】根据如图中各图所提供的信息,回答下列问题:
![]()
⑴图A实验的目的是:________________________________________;
⑵图B的实验结论是__________________________________________;
⑶图C的实验可以探究电流做功与__________的关系,实验中根据_____________来比较相同时间内电流做功的多少。
查看答案和解析>>
湖北省互联网违法和不良信息举报平台 | 网上有害信息举报专区 | 电信诈骗举报专区 | 涉历史虚无主义有害信息举报专区 | 涉企侵权举报专区
违法和不良信息举报电话:027-86699610 举报邮箱:58377363@163.com