精英家教网 > 初中物理 > 题目详情
有一电阻器,如果在它两端加12伏的电压,通过它的电流是0.4安,那么它的电阻是     欧;如果在这电阻两端加15伏电压时,通过它的电流是     安,它的电阻是     欧.
【答案】分析:已知电阻器两端的电压和电流可利用欧姆定律计算出电阻.
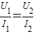
导体的电阻是导体本身的一种基本性质,导体两端电压变化时电阻不变.
根据欧姆定律可知:在电阻不变的条件下,导体中的电流与两端的电压成正比.可求得电压为15V时通过电阻的电流.
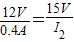
解答:解:根据欧姆定律得:R===30Ω.
电阻器两端的电压为15V时,电阻值不变仍为30Ω.
根据欧姆定律得:,即
解得I2=0.5A.
故答案为:30;0.5;30.
点评:本题考查的是欧姆定律的应用以及电阻的性质,解题的关键是对电阻的基本性质的理解.
练习册系列答案
相关习题

科目:初中物理 来源: 题型:

有一电阻器,如果在它两端加12伏的电压,通过它的电流是0.4安,那么它的电阻是
30
30
欧;如果在这电阻两端加15伏电压时,通过它的电流是
0.5
0.5
安,它的电阻是
30
30
欧.

查看答案和解析>>

科目:初中物理 来源: 题型:

有一电阻器,如果在它两端加12伏的电压,通过它的电流是0.4安,那么在这个电阻器两端加15伏的电压时,通过它的电流是
 
安;若它两端不加电压,则此电阻器中的电流为
 
安,它的电阻为
 
欧.

查看答案和解析>>

科目:初中物理 来源:2013-2014学年陕西省宝鸡市金台区九年级上学期期末质量检测物理试卷(解析版) 题型:填空题

有一电阻器,如果在它两端加12 V的电压,通过它的电流是0.4 A,那么它的电阻是            ;如果在这电阻器两端加15 V电压时,通过它的电流是          ,它的电阻是               .

 

查看答案和解析>>

科目:初中物理 来源:不详 题型:填空题

有一电阻器,如果在它两端加12伏的电压,通过它的电流是0.4安,那么它的电阻是 ______欧;如果在这电阻两端加15伏电压时,通过它的电流是 ______安,它的电阻是 ______欧.

查看答案和解析>>

同步练习册答案