【题目】在“测定小灯泡电功率”的实验中,小灯泡额定电压为2.5V。
![]()
(1)图甲中有一根导线连接错误,请在错误的导线上画“×”,并在图中改正(导线不许交叉)。
(_______)
(2)正确连接电路后,闭合开关,移动滑动变阻器的滑片,发现小灯泡始终不亮。两电表无示数。为判断故障、将电压表与滑动变阻器并联,电压表有示数,则电路发生故障的原因是_____。
(3)排除故障后闭合开关,移动滑动变阻器的滑片P到某一点,电压表示数如图乙所示为_____V。
(4)根据实验记录绘制Ⅰ﹣U图象如图丙所示,根据图象信息,计算小灯泡的额定功率是_____W。
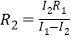
(5)完成上述实验后,小敏设计了如图丁所示的电路,测出了额定电流为I额的小灯泡的额定功率。实验方案如下:(电源电压不变,滑动变阻器R1的最大阻值为R1)
①按电路图连接电路。
②闭合开关_____,移动R1滑片,使电流表的示数为I额灯泡正常发光。
③闭合开关_____,保持R1滑片位置不动,移动R2滑片,使电流表的示数为I额。
④保持_____滑片位置不动,将另一个滑动变阻器滑片移到最左端,电流表的示数为I1,再将此滑动变阻器的滑片移到最右端,电流表的示数为I2。
⑤小灯泡额定功率的表达式为P额=_____。(用I额、I1、I2、R1表示)
【答案】
滑动变阻器断路 2.2 0.5 S1 S2 R2 I额2
【解析】
(1)本实验中,电压表应并联在灯泡的两端,由此分析图甲的错误修改;
(2)通过小灯泡不亮,两电表无示数,判断出电路中出现断路,然后根据具体情况判断断路处;
(3)由图乙明确电压表量程和分度值,再读数;
(4)由图象读出额定电压下通过灯泡的电流,根据P=UI计算额定电功率;
(5)已知灯泡的额定电流,可通过R2等效替代正常发光灯泡,再根据电路特点,利用电源不变计算出R2的阻值,由P=I2R计算额定功率。
(1)由图甲知,电压表串联在了电路中,应将其与灯泡并联,将滑动变阻器与灯泡串联,电路图如图所示:
![]()
(2)小灯泡不亮,两电表无示数,电路可能有断路发生,将电压表并联在滑动变阻器两端,发现电压表有示数,此时电压表两接线柱到电源两极间是通路,则说明与电压表并联的滑动变阻器断路;
(3)由图乙知,电压表使用0﹣3V量程,分度值为0.1V,所以电压表示数为2.2V;
(4)当U=2.5V时灯泡正常发光,由图象知此时灯泡中的电流I=0.2A,所以灯泡的额定功率:
P=UI=2.5V×0.2A=0.5W;
(5)①按电路图连接电路。
②闭合开关S1,移动R1滑片,使电流表的示数为I额灯泡正常发光。此时灯泡与R1串联;
③闭合开关S2,保持R1滑片位置不动,移动R2滑片,使电流表的示数为I额。
此时R1与R2串联,因为电路中电流仍为I额,所以R2=RL;
④保持R2滑片位置不动,将另一个滑动变阻器(R1)滑片移到最左端,电流表的示数为I1,再将此滑动变阻器(R1)的滑片移到最右端,电流表的示数为I2。
由串联电路特点和欧姆定律可得:
U=I1R2=I2(R1+R2),
解得:
,
⑤小灯泡额定功率的表达式为:
。
科目:初中物理 来源: 题型:
【题目】2012年某日,太平洋某海域,“蛟龙号”完成了下潜前的准备,腹部挂好压载铁块;舱内科考队员均就位;舱门封闭如图甲所示,此时“蛟龙号”的工作参数如表格所示(g取10N/kg)
![]()
状态 | 满载 |
整体体积 | 22.3m3 |
整体质量 | 24.95t |
海水密度 | 1.1×103kg/m3 |
问:(1)在海水中1.2km深处完成科考任务后,发现液压系统故障,无法抛掉压载铁块,只得启动“蛟龙号”两侧的螺旋桨,两侧螺旋桨共同作用使“蛟龙号”获得竖直向上的推力F推,帮助“蛟龙号”匀速上升,不计海水对“蛟龙号”的阻力,匀速上升过程中,F推有多大?
(2)上升过程耗时2h,F推做功的功率多大?
(3)为保障电动机驱动螺旋桨用电,舱内其他用电器都被关闭,仪表显示上升过程中耗电2kWh,此过程中,电能转化为F推做功的效率有多大?
(4)接近水面时,关闭两侧螺旋桨,轮船用滑轮组将“蛟龙号”从水中匀速吊离水面至高处,如图乙、丙所示,已知动滑轮总质量为50kg,不计绳重及轮、轴之间摩擦,此过程中,滑轮组绳端拉力的最大值多大?与之对应的滑轮组机械效率的最大值为多大?
查看答案和解析>>
科目:初中物理 来源: 题型:
【题目】如图所示,电源电压不变,当开关S闭合,滑动变阻器滑片P由中点滑向最右端,以下分析正确的是
![]()
A. V示数变大 B. 电路的总电阻变大
C. 电路的总功率变大 D. A1表示数与A2示数之差变大
查看答案和解析>>
科目:初中物理 来源: 题型:
【题目】如图所示,R1与R2并联在电源电压为3V的电路中。只闭合开关S1时,电流表的示数为0.3A:同时闭合开关S1和S2电流表的示数为0.5A。则 ( )
![]()
A.R1的阻值为60Ω B.R2的阻值为15Ω
C.通过R1的电流是0.5A D.通过R2的电流是0.3A
查看答案和解析>>
科目:初中物理 来源: 题型:
【题目】南宁市周边地热资源十分丰富,发现多处天然温泉,温泉水的温度大多在60℃以上,100kg的温泉水从60℃降到20℃放出的热量是_____J,相当于_____kg的煤气完全燃烧所放出的热量。(水的比热容为4.2×103J/(kg℃),煤气的热值为4.2×107J/kg)
查看答案和解析>>
科目:初中物理 来源: 题型:
【题目】对下列四张图片所运用的物理知识的解释或理解,说法错误的是
![]()
A. 微波炉利用电磁波加热食品,食物分子在微波作用下剧烈振动,内能增加、温度升高
B. 原子由原子核和核外电子构成,原子核由质子和中子构成,原子整体不显电性
C. 收音机附近持续稳定的电流会在空间产生电磁波,使收音机发出“嚓嚓”的响声
D. 核电站利用核反应堆产生的能量推动汽轮机做功带动发电机发电
查看答案和解析>>
科目:初中物理 来源: 题型:
【题目】如图甲所示是某品牌汽车油量表工作原理图,电源电压U=24 V,R0为保护电阻,
为油量表(实际是由量程为0~0.6 A的电流表改装而成的),R为处于油箱下方的压敏电阻,其阻值随所受压力F变化的图象如图乙所示,它与油箱的接触面积S=0.01 m2。长方体油箱装满油时深度h=0.4 m。若忽略油箱重量,汽油密度ρ=0.7×103 kg/m3,g取10 N/kg,求:
![]()
(1)汽车加满油时压敏电阻上表面受到的压力F和压强p。
(2)保护电阻R0的阻值。
(3)油量表“0”刻度对应的电流I0。
查看答案和解析>>
科目:初中物理 来源: 题型:
【题目】随着国民经济的发展,汽车已走进家庭。一辆小轿车以某一速度在平直路面上匀速行驶100km,消耗汽油10 L。若这些汽油完全燃烧放出的热量有30%用来驱动汽车做有用功,(q=4.6×107J/kg; ρ=0.7×103kg/m3 , 1L=0.001m),求:
(1)这些汽油完全燃烧放出的热量;
(2)这辆轿车以该速度匀速行驶时受到的阻力。
(3)热机的效率是多少?
查看答案和解析>>
科目:初中物理 来源: 题型:
【题目】如图是老式电话机的原理图。炭粒话筒相当于一个变阻器,膜片振动把炭粒压紧和放松时,相当于图中膜片带动滑动头左右移动,使滑动变阻器的电阻发生变化,引起电路中的电流发生相应变化。听筒中有一个电磁铁,当线圈中的电流发生变化时,它对旁边铁质膜片的引力也随着改变,使膜片来回运动。因此,听筒中膜片往返运动的频率跟话筒膜片振动的频率相同,这样听筒中就听到了对方说话的声音。请具体分析:当话筒膜片由静止向左、向右运动时,听筒中原来静止的膜片会怎样运动?
![]()
查看答案和解析>>
湖北省互联网违法和不良信息举报平台 | 网上有害信息举报专区 | 电信诈骗举报专区 | 涉历史虚无主义有害信息举报专区 | 涉企侵权举报专区
违法和不良信息举报电话:027-86699610 举报邮箱:58377363@163.com