精英家教网 > 高中化学 > 题目详情

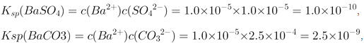
【题目】常温下,将11.65gBaSO4粉末置于盛有250mL蒸馏水的烧杯中,然后向烧杯中加入Na2CO3固体(忽视溶液体积的变化)并充分搅拌,加入Na2CO3固体的过程中,溶液中几种离子的浓度变化曲线如图所示,下列说法中正确的是

A. 相同温度时,Ksp(BaSO4)>Ksp(BaCO3)

B. BaSO4在水中的溶解度、Ksp均比在BaCl2溶液中的大

C. 若使0.05molBaSO4全部转化为BaCO3,至少要加入1.25molNa2CO3

D. 0.05molBaSO4恰好全部转化为BaCO3时,溶液中离子浓度大小为:c(CO32-)>c(SO42-)>c(Ba2+)

【答案】D

【解析】:更难溶,二者是同类型物质,可以直接根据溶解性情况比较大小,因此相同温度时,,A错误;溶液中因为的存在,使沉淀溶解平衡向逆向方向移动,因此在溶液中的溶解度不大,只随温度的改变而改变,无论在水中还是溶液中,值是不变的,B错误;粉末,其物质的量为,使转化为,发生的反应为,根据图象反应的平衡常数为,若使全部转化为,则反应生成,反应的离子积为,则平衡时,则至少需要的物质的量为,C错误;
恰好全部转化为,溶液中存在大量的,平衡时的浓度大于,水解促进的形成,因此溶液中浓度最小的是,因此离子浓度大小关系为:,所以D选项是正确的.所以D选项是正确的

练习册系列答案
相关习题

科目:高中化学 来源: 题型:

【题目】生活中处处有化学。请根据你所学过的化学知识,判断下列说法中错误的是

A. 医疗上常用体积分数为70%-75%的酒精作消毒剂

B. 为防止流感传染,可将教室门窗关闭后,用食醋熏蒸,进行消毒

C. 海鲜、肉类等食品用福尔马林(甲醛溶液)浸泡防腐保鲜

D. 碘沾在手上立即用酒精洗涤

查看答案和解析>>

科目:高中化学 来源: 题型:

【题目】设NA为阿伏伽德罗常数的值。下列有关叙述错误的是

A. 80gCuO和Cu2S的混合物中,所含铜原子数为NA

B. 1molNaBH4与足量水反应(NaBH4+H2O=NaBO2+H2↑)时转移的电子数为:4NA

C. pH=13的Ba(OH)2溶液中,含有OH-0.2NA

D. 密闭容器中PCl3与Cl2反应生成molPCl5(g),增加2A个P-C1键

查看答案和解析>>

科目:高中化学 来源: 题型:

【题目】下列化合物中,含有离子键的是(

A.H2OB.HFC.MgCl2D.NO

查看答案和解析>>

科目:高中化学 来源: 题型:

【题目】下列物质能与CO2反应的是(

A.CaOB.盐酸C.浓硫酸D.SiO2

查看答案和解析>>

科目:高中化学 来源: 题型:

【题目】常温下,将20.0 g 14%NaCl溶液与30.0 g 24%NaCl溶液混合,混合后得到密度为 1.17 g·cm3的溶液。请计算:

(1)混合后的溶液中NaCl的质量分数是多少?___________

(2)混合后的溶液的物质的量浓度为多少?_________

查看答案和解析>>

科目:高中化学 来源: 题型:

【题目】在氧化还原反应3S+6KOH=K2SO3+2K2S+3H2O中,被氧化与被还原的硫原子数之比为( )
A.1:1
B.2:1
C.1:2
D.3:2

查看答案和解析>>

科目:高中化学 来源: 题型:

【题目】25℃时,向某Na2CO3溶液中加入稀盐酸,溶液中含碳微粒的物质的量分数(φ)随溶液pH变化的部分情况如图所示。下列说法中正确的是

A. Na2CO3溶液中c(Na+)=c(CO32-)+ c(HCO3-)+ c(H2CO3

B. pH=8时,溶液中c(Cl-)=c(Na+)

C. pH =7时,溶液中的c(Na+)>c(Cl-)>c(HCO3-)>c(H+)=c(OH-)

D. 25℃时,CO32-+H2OHCO3-+OH-的Kh=10-10mol·L-1

查看答案和解析>>

科目:高中化学 来源: 题型:

【题目】乙醇的沸点是78℃,能与水以任意比混溶。乙醚的沸点为34.6℃,难溶于水,在饱和Na2CO3 溶液中几乎不溶,乙醚极易燃烧。实验室制醚的反应原理是:

2CH3CH2OH→H2O + CH3CH2—O—CH2CH3 (乙醚)

1甲图和乙图是两套实验室制乙醚的装置,选装置_________(填“甲”或“乙”)最合理,理由是______________________________

2反应液中应加入沸石,其作用是____________________

3反应中温度计的正确位置是水银球置于____________________

4用装置乙制得的乙醚中可能含有大量的杂质,该杂质是__________,除去这种杂质的简易方法是__________________(提示:乙醚不溶于水,乙醇与水互溶)。

5如果温度太高,将会发生副反应,其产物名称为____________

查看答案和解析>>

同步练习册答案