ijУÉúÎïÐËȤС×éµÄͬѧÔÚ½øÐÐÈËȺÖÐÒÅ´«²¡·¢²¡Çé¿öµ÷²éʱ£¬·¢ÏÖijСѧµÄÒ»ÃûÈýÄê¼¶ÄÐÉú»¼Ò»ÖÖÏÈÌìÐÔÐÄÔಡ¡£ÕâÖÖ²¡ÓÐÃ÷ÏԵļÒ×å¾Û¼¯ÏÖÏ󣬸ÃÄк¢µÄ¸¸Çס¢×游ºÍ׿ď¶¼ÊǴ˲¡»¼Õߣ¬ËûµÄÁ½Î»¹Ã¹ÃÒ²ÓÐһλ»¼²¡¡£Õâλ»¼²¡µÄ¹Ã¹ÃÓÖÉúÁËÒ»¸ö»¼²¡µÄÅ®¶ù¡£ÒÑÖª¼Ò×åÖÐµÄÆäËû³ÉÔ±¶¼Õý³£¡£
£¨1£©Çë¸ù¾ÝÕâ¸öÄк¢¼°ÆäÏà¹ØµÄ¼ÒÍ¥³ÉÔ±µÄÇé¿ö£¬ÔÚÓҲ෽¿òÖлæÖƳöÒÅ´«ÏµÆ×ͼ
![]()
£¨2£©¸ÃÒÅ´«²¡µÄÖ²¡»ùÒòλÓÚ¡¡¡¡¡¡¡¡È¾É«ÌåÉÏ£¬ÊôÓÚ¡¡¡¡ ÐÔÒÅ´«²¡¡£
£¨3£©¸ÃÄк¢µÄ¸¸Çׯä»ùÒòÐÍΪ´¿ºÏµÄ¸ÅÂÊΪ ¡£
£¨4£©Õâ¸öÄк¢µÄ»ùÒòÐÍÓëËû¹Ã¹ÃµÄ»¼²¡Å®¶ùµÄ»ùÒòÐÍÏàͬµÄ¿ÉÄÜÐÔÊÇ¡¡¡¡¡¡¡¡¡¡%¡£
£¨5£©¾ÊÖÊõÖÎÁƺó£¬Õâ¸öÄк¢»Ö¸´Á˽¡¿µ¡£ÈôËû³ÉÄêºó£¬ÓëÒ»Õý³£Å®×Ó½á»é£¬ÄãÈÏΪÆäºó´úÊÇ·ñ»á»¼²¡£¿ÎªÊ²Ã´£¿¡¡¡¡¡¡¡¡¡¡¡¡¡¡¡¡ ¡¡¡¡¡¡¡¡¡¡¡¡¡¡¡¡¡¡¡¡¡£
| Äê¼¶ | ¸ßÖÐ¿Î³Ì | Äê¼¶ | ³õÖÐ¿Î³Ì |
| ¸ßÒ» | ¸ßÒ»Ãâ·Ñ¿Î³ÌÍÆ¼ö£¡ | ³õÒ» | ³õÒ»Ãâ·Ñ¿Î³ÌÍÆ¼ö£¡ |
| ¸ß¶þ | ¸ß¶þÃâ·Ñ¿Î³ÌÍÆ¼ö£¡ | ³õ¶þ | ³õ¶þÃâ·Ñ¿Î³ÌÍÆ¼ö£¡ |
| ¸ßÈý | ¸ßÈýÃâ·Ñ¿Î³ÌÍÆ¼ö£¡ | ³õÈý | ³õÈýÃâ·Ñ¿Î³ÌÍÆ¼ö£¡ |
¿ÆÄ¿£º¸ßÖÐÉúÎï À´Ô´£º2013½ì¸ÊËà¸Ê¹ÈÒ»ÖиßÈýÉÏѧÆÚµÚÒ»´Î¼ì²âÀí×ÛÊÔ¾í£¨ÉúÎﲿ·Ö£©£¨´ø½âÎö£© ÌâÐÍ£º×ÛºÏÌâ
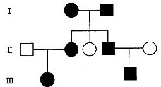
£¨12·Ö ÿ¿Õ2·Ö£©ÓÒÃæÊÇijÒÅ´«²¡µÄÒÅ´«ÏµÆ×ͼ£¬ÆäÖТò2ºÍ¢ò3ÊÇͬÂÑË«Éú£¨ÓÉͬһ¸öÊܾ«ÂÑ·¢Óý¶øÀ´µÄÁ½¸ö¸öÌ壩¡£Çë·ÖÎö»Ø´ð£¨Ïà¹Ø»ùÒòÓÃB¡¢b±íʾ£©£º![]()
£¨1£©¸Ã¼ÒÍ¥µÄÒÅ´«²¡×î¿ÉÄÜÊÇ______ȾɫÌå______ÐÔÒÅ´«²¡£¬¢ò2Я´ø¸Ã²¡»ùÒòµÄ¿ÉÄÜÐÔÊÇ________¡£
£¨2£©¢ò3ºÍ¢ò4ÔÙÉúÒ»¸öº¢×Ó£¬ÊÇÕý³£Äк¢µÄ¸ÅÂÊÊÇ________________________¡£
£¨3£©¢ò5µ½ÁË»éÓýÄêÁ䣬Èç¹ûÄãÊÇÒ½Éú£¬´ÓÓÅÉúѧµÄ½Ç¶È¸øËýÌá³öµÄ½¨ÒéÊÇ____________ ¡£
£¨4£©Ä³Ð£ÉúÎïÐËȤС×é¶Ô¸ÃУѧÉúÖкìÂÌɫäµÄ·¢²¡Çé¿ö¿ªÕ¹µ÷²é¡£
¼ÙÈç±»µ÷²éµÄÈËÊýÖУ¬»ùÒòÐ͵ıÈÀýΪXB XB £¨43£®32£¥£©¡¢XB Xb£¨6£®36£¥£©¡¢XbXb£¨0£®32£¥£©¡¢XBY£¨46£¥£©¡¢XbY£¨4£¥£©£¬ÔòXbµÄ»ùÒòƵÂÊÊÇ________ £¨¿ÉÓ÷ÖÊý±íʾ£©¡£
²é¿´´ð°¸ºÍ½âÎö>>
¿ÆÄ¿£º¸ßÖÐÉúÎï À´Ô´£º2012-2013ѧÄê¸ÊËà¸Ê¹ÈÒ»ÖиßÈýÉÏѧÆÚµÚÒ»´Î¼ì²âÀí×ÛÊÔ¾í£¨ÉúÎﲿ·Ö£©£¨½âÎö°æ£© ÌâÐÍ£º×ÛºÏÌâ
£¨12·Ö ÿ¿Õ2·Ö£©ÓÒÃæÊÇijÒÅ´«²¡µÄÒÅ´«ÏµÆ×ͼ£¬ÆäÖТò2ºÍ¢ò3ÊÇͬÂÑË«Éú£¨ÓÉͬһ¸öÊܾ«ÂÑ·¢Óý¶øÀ´µÄÁ½¸ö¸öÌ壩¡£Çë·ÖÎö»Ø´ð£¨Ïà¹Ø»ùÒòÓÃB¡¢b±íʾ£©£º
![]()
£¨1£©¸Ã¼ÒÍ¥µÄÒÅ´«²¡×î¿ÉÄÜÊÇ______ȾɫÌå______ÐÔÒÅ´«²¡£¬¢ò2Я´ø¸Ã²¡»ùÒòµÄ¿ÉÄÜÐÔÊÇ________¡£
£¨2£©¢ò3ºÍ¢ò4ÔÙÉúÒ»¸öº¢×Ó£¬ÊÇÕý³£Äк¢µÄ¸ÅÂÊÊÇ________________________¡£
£¨3£©¢ò5µ½ÁË»éÓýÄêÁ䣬Èç¹ûÄãÊÇÒ½Éú£¬´ÓÓÅÉúѧµÄ½Ç¶È¸øËýÌá³öµÄ½¨ÒéÊÇ____________ ¡£
£¨4£©Ä³Ð£ÉúÎïÐËȤС×é¶Ô¸ÃУѧÉúÖкìÂÌɫäµÄ·¢²¡Çé¿ö¿ªÕ¹µ÷²é¡£
¼ÙÈç±»µ÷²éµÄÈËÊýÖУ¬»ùÒòÐ͵ıÈÀýΪXB XB £¨43£®32£¥£©¡¢XB Xb£¨6£®36£¥£©¡¢XbXb£¨0£®32£¥£©¡¢XBY£¨46£¥£©¡¢XbY£¨4£¥£©£¬ÔòXbµÄ»ùÒòƵÂÊÊÇ________ £¨¿ÉÓ÷ÖÊý±íʾ£©¡£
²é¿´´ð°¸ºÍ½âÎö>>
¿ÆÄ¿£º¸ßÖÐÉúÎï À´Ô´£º ÌâÐÍ£º
£¨1£©¢ò2Я´øÉ«Ã¤»ùÒòµÄ¿ÉÄÜÐÔÊÇ________¡£
£¨2£©¢ò3ºÍ¢ò4ÔÙÉúÒ»¸öº¢×Ó,ÊÇÕý³£Äк¢µÄ¿ÉÄÜÐÔÊÇ_____________¡£
£¨3£©¢ò5µ½ÁË»éÓýÄêÁ䣬Èç¹ûÄãÊÇÒ½Éú£¬´ÓÓÅÉúѧµÄ½Ç¶È¸øËýÌá³öµÄ½¨ÒéÊÇ______________________¡£
£¨4£©Ä³Ð£ÉúÎïÐËȤС×é¶Ô¸ÃУ03¡¢04¡¢05¼¶Ñ§ÉúÖкìÂÌɫäµÄ·¢²¡Çé¿ö¿ªÕ¹µ÷²é¡£
¢ÙÇëÄãÉè¼ÆÒ»¸ö±í¸ñ£¬¼Ç¼µ÷²éÇé¿ö¡£
¢Ú¼ÙÈç±»µ÷²éÈËÊý¹²Îª3000ÈË£¬£¨ÄÐ1450£¬Å®1550ÈË£©£¬µ÷²é½á¹û·¢ÏÖºìÂÌɫ仼Õß43ÈË£¨ÄÐÐÔ41ÈË£¬Å®ÐÔ2ÈË£©£¬ÔòºìÂÌɫä·¢²¡ÂÊΪ_________¡£
²é¿´´ð°¸ºÍ½âÎö>>
¿ÆÄ¿£º¸ßÖÐÉúÎï À´Ô´£º ÌâÐÍ£ºÔĶÁÀí½â
£¨I£©Ä³Í¬Ñ§ÀûÓÃÏÂͼËùʾװÖöÔÖ²Îïг´úлÖÐijЩÉúÀí»î¶¯½øÐÐÏà¹ØÑо¿£¬Çë»Ø´ðÏÂÁÐÎÊÌ⣺
![]()
£¨1£©ÔÚÅàÑøÒºÖмÓÈëH218O£¬Ò»¶Îʱ¼äºóÔÚÖ²ÎïÌåÖÜΧµÄ¿ÕÆøÖмì²âµ½·ÅÉäÐÔµÄÎïÖÊÓÐ18O2¡¢H218O¡¢C18O2£¬ËüÃÇ·Ö±ðÊÇÓɹâºÏ×÷Óá¢______¡¡ _____¡¢________¡¡ ___ ²úÉúµÄ¡£
£¨2£©ÓôË×°ÖÃÅàÑøÄ³Ö²Îïʱ£¬µÚÒ»Öܳ¤ÊÆÕý³££¬µÚ¶þÖܳöÏÖÈ±ËØÖ¢£¬ÔÒòÊÇ¿óÖÊÔªËØÎüÊÕÐèÒªÏûºÄ___________ £¬¶ø´Ë×°ÖÃÖиùϵһֱ½þÔÚË®ÖУ¬µ¼ÖÂ_________________________________¡£
£¨3£©ÈôÓôË×°ÖÃÀ´Ì½¾¿CO2ÊÇ·ñÊǹâºÏ×÷ÓõÄÔÁÏ£¬Ôò»¹ÐèÒªÔö¼ÓÒ»¸öʵÑé×°Öã¬×ö·¨ÊÇ
___________£¬ÆäËûÌõ¼þͬ´Ë×°Öá£
£¨4£©ÈôÓôË×°ÖÃÀ´Ì½¾¿ÔªËØXÊÇ·ñΪֲÎïµÄ±ØÐè¿óÖÊÔªËØ£¬Ôò»¹ÐèÔÙÔö¼ÓÒ»¸öʵÑé×°Öã¬×ö·¨ÊÇ___________£¬ÆäËûÌõ¼þͬ´Ë×°Öá£ÈôÑо¿µÄ»¯Ñ§ÔªËØÊÇÃ¾ÔªËØºÍÌúÔªËØ£¬ÔòÈ±ËØÖ¢×´±íÏÖÔÚ___________²¿Î»¿ÉÅжÏÎªÈ±Ã¾ÔªËØ¡£
£¨5£©ÈôÈ¥µô´Ë×°ÖÃÖеÄNaHCO3ÈÜÒººó£¬Í¬Ê±ÅàÑø³¤ÊÆÁ¼ºÃµÄÒ»Ö겤²Ë£¨C3Ö²ÎºÍÒ»ÖêÜȲˣ¨C4Ö²Î£¬¸øÓè³ä×ãµÄ¹âÕÕ¡£Ò»ÐÇÆÚºó£¬²¤²ËËÀÍö¶øÜȲËÒÀ¾É´æ»î£¬ÆäÔÒò¿ÉÄÜÊÇ_______________________________________________________¡£
(II)ijУÉúÎïÐËȤС×éΪÁË̽¾¿Ö²ÎïµÄÕôÌÚ×÷ÓÃÊÇ·ñÓ°Ïì¸ù¶Ô¿óÖÊÔªËØµÄÎüÊÕ£¬¼ÙÉè¿óÖÊÔªËØµÄÔËÊäÓëË®·ÖµÄÔËÊäÊÇÁ½¸öÏà¶Ô¶ÀÁ¢µÄ¹ý³Ì£¬Éè¼ÆÁËÈçÏÂʵÑé·½°¸£¬Ç뽫ʵÑé²½Öè²¹³äÍêÕû£¬²¢»Ø´ðÎÊÌâ¡£
£¨1£©ÊµÑé·½°¸£º ʵÑéÄ¿µÄ£º(ÂÔ)¡¡ ʵÑéÔÀí£º(ÂÔ)
ʵÑé²ÄÁÏÓþߣº³¤ÊƺÍҶƬÊýÄ¿ÏàͬµÄͬÖÖÓ×ÃçÈô¸É.¹ã¿ÚÆ¿Èô¸É¸ö.µ¼¹ÜÈô¸ÉÖ§.·ÅÉäÁ¿²â¶¨ÒÇ.º¬42KµÄÍêÈ«ÓªÑøÒº.Ë®.¼ôµ¶.·²Ê¿Áֵȡ£
ʵÑé²½Ö裺
¢ÙÈ¡Èý¸ö¹ã¿ÚÆ¿___________________£¬¸÷¹ã¿ÚÆ¿ÄÚ·Ö±ð¼ÓÈË________________º¬42KÍêÈ«ÓªÑøÒº£¬²â¶¨¸÷×éÓªÑøÒºÖÐ42KµÄ·ÅÉäÁ¿¡£
¢Úÿ×é¾ù·ÅÈýÖêÓ×Ã磬¼××éÓ×Ãç±£ÁôÈ«²¿Ò¶Æ¬£¬ÒÒ×éÓ×Ãç¼ôÈ¥___________________ҶƬ£¬±û×éÓ×Ãç¼ôÈ¥___________ҶƬ£¬Ó÷²Ê¿ÁÖͿĨËùÓÐÇпڡ£
¢Û½«Èý×é×°Öö¼·ÅÔÚ______________________Ìõ¼þÏÂͬʱÅàÑø£¬ÅàÑøÒºÖб£³ÖͨÈë¿ÕÆø¡£
¢ÜÒ»¶Îʱ¼äºó£¬Í¬Ê±¹Û²ì.²â¶¨²¢¼Ç¼ÿ×éÅàÑøÒºÖÐ42KµÄ·ÅÉäÁ¿¡£
¢Ý________________________________µÃ³ö½áÂÛ¡£
£¨2£©ÊµÑé˼¿¼£ºÏÂÁи÷ͼÖУ¬ÄÜ˵Ã÷¸ÃʵÑé½á¹ûµÄÊÇ________¡£
![]()
²é¿´´ð°¸ºÍ½âÎö>>
¿ÆÄ¿£º¸ßÖÐÉúÎï À´Ô´£º ÌâÐÍ£º
ÏÂÃæÊÇijÒÅ´«²¡µÄÒÅ´«ÏµÆ×ͼ£¬ÆäÖТò2ºÍ¢ò3ÊÇͬÂÑË«Éú£¨ÓÉͬһ¸öÊܾ«ÂÑ·¢Óý¶øÀ´µÄÁ½¸ö¸öÌ壩¡£Çë·ÖÎö»Ø´ð£¨Ïà¹Ø»ùÒòÓÃB¡¢b±íʾ£©£º
![]()
¡¡ £¨1£©¸Ã¼ÒÍ¥µÄÒÅ´«²¡×î¿ÉÄÜÊÇ______ȾɫÌå______ÐÔÒÅ´«²¡£¬¢ò2Я´ø¸Ã²¡»ùÒòµÄ¿ÉÄÜÐÔÊÇ________¡£
£¨2£©¢ò3ºÍ¢ò4ÔÙÉúÒ»¸öº¢×Ó£¬ÊÇÕý³£Äк¢µÄ¸ÅÂÊÊÇ________________________¡£
£¨3£©¢ò5µ½ÁË»éÓýÄêÁ䣬Èç¹ûÄãÊÇÒ½Éú£¬´ÓÓÅÉúѧµÄ½Ç¶È¸øËýÌá³öµÄ½¨ÒéÊÇ¡¡¡¡¡¡¡¡ ¡£
£¨4£©Ä³Ð£ÉúÎïÐËȤС×é¶Ô¸ÃУO6¡¢O7¡¢O8¼¶Ñ§ÉúÖкìÂÌɫäµÄ·¢²¡Çé¿ö¿ªÕ¹µ÷²é¡£
¢Ù¼ÙÈç±»µ÷²éµÄÈËÊýÖУ¬»ùÒòÐ͵ıÈÀýΪXB XB £¨43£®32£¥£©¡¢XB Xb£¨6£®36£¥£©¡¢XbXb£¨0£®32£¥£©¡¢XBY£¨46£¥£©¡¢XbY£¨4£¥£©£¬ÔòXbµÄ»ùÒòƵÂÊÊÇ________¡¡¡¡ £¨¿ÉÓ÷ÖÊý±íʾ£©¡£
¢ÚÇëÄãÉè¼ÆÒ»¸ö±í¸ñ£¬¼Ç¼µ÷²éÇé¿ö£¨ÒªÇóд³öÄÐÅ®±íÏÖÐͼ°µ÷²éÄê¼¶µÈ£©¡£
²é¿´´ð°¸ºÍ½âÎö>>
¹ú¼ÊѧУÓÅÑ¡ - Á·Ï°²áÁбí - ÊÔÌâÁбí
ºþ±±Ê¡»¥ÁªÍøÎ¥·¨ºÍ²»Á¼ÐÅÏ¢¾Ù±¨Æ½Ì¨ | ÍøÉÏÓк¦ÐÅÏ¢¾Ù±¨×¨Çø | µçÐÅթƾٱ¨×¨Çø | ÉæÀúÊ·ÐéÎÞÖ÷ÒåÓк¦ÐÅÏ¢¾Ù±¨×¨Çø | ÉæÆóÇÖȨ¾Ù±¨×¨Çø
Î¥·¨ºÍ²»Á¼ÐÅÏ¢¾Ù±¨µç»°£º027-86699610 ¾Ù±¨ÓÊÏ䣺58377363@163.com