精英家教网 > 高中数学 > 题目详情
以知椭圆的两个焦点分别为F1(-c,0)和F2(c,0)(c>0),过点的直线与椭圆相交与A,B两点,且F1A∥F2B,|F1A|=2|F2B|.
(1)求椭圆的离心率;
(2)求直线AB的斜率;
(3)设点C与点A关于坐标原点对称,直线F2B上有一点H(m,n)(m≠0)在△AF1C的外接圆上,求的值.
【答案】分析:(1)由F1A∥F2B且|F1A|=2|F2B|,得,从而,由此可以求出椭圆的离心率.
(2)由题意知椭圆的方程可写为2x2+3y2=6c2,设直线AB的方程为,设A(x1,y1),B(x2,y2),
则它们的坐标满足方程组,整理,得(2+3k2)x2-18k2cx+27k2c2-6c2=0.再由根的判别式和根与系数的关系求解.
(III)解法一:当时,得.线段AF1的垂直平分线l的方程为直线l与x轴的交点是△AF1C外接圆的圆心,因此外接圆的方程为.由此可以推导出的值.
解法二:由椭圆的对称性可知B,F2,C三点共线,由已知条件能够导出四边形AF1CH为等腰梯形.由此入手可以推导出的值.
解答:(1)解:由F1A∥F2B且|F1A|=2|F2B|,
,从而
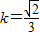
整理,得a2=3c2,故离心率
(2)解:由(I)得b2=a2-c2=2c2
所以椭圆的方程可写为2x2+3y2=6c2
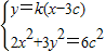
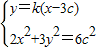
设直线AB的方程为,即y=k(x-3c).
由已知设A(x1,y1),B(x2,y2),
则它们的坐标满足方程组
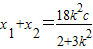
消去y整理,得(2+3k2)x2-18k2cx+27k2c2-6c2=0.
依题意,


由题设知,点B为线段AE的中点,所以x1+3c=2x2
联立①③解得
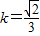
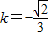
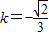
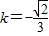
将x1,x2代入②中,解得
(III)解法一:由(II)可知
时,得,由已知得
线段AF1的垂直平分线l的方程为直线l与x轴
的交点是△AF1C外接圆的圆心,
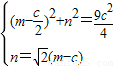
因此外接圆的方程为
直线F2B的方程为
于是点H(m,n)的坐标满足方程组
由m≠0,解得
时,同理可得
解法二:由(II)可知
时,得,由已知得
由椭圆的对称性可知B,F2,C三点共线,
因为点H(m,n)在△AF1C的外接圆上,
且F1A∥F2B,所以四边形AF1CH为等腰梯形.
由直线F2B的方程为
知点H的坐标为
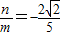
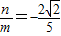
因为|AH|=|CF1|,所以,解得m=c(舍),或
,所以.当时同理可得
点评:本题考查直线与椭圆的位置关系和椭圆性质的综合应用,难度较大,解题要注意公式的正确选取和灵活运用,避免不必要的性质.
练习册系列答案
相关习题

科目:高中数学 来源: 题型:

(2009•成都模拟)已知椭圆的两个焦点F1(0,1)、F2(0,1)、直线y=4是它的一条准线,A1、A2分别是椭圆的上、下两个顶点.
(Ⅰ)求椭圆的方程;
(Ⅱ)设以原点为顶点,A1点的抛物线为C,若过点F1的直线l与C交于不同的两点M、N,求线段MN的中点Q的轨迹方程.

查看答案和解析>>

科目:高中数学 来源: 题型:

(满分13分)

     以知椭圆的两个焦点分别为,过点的直

线与椭圆相交与两点,且

(1)求椭圆的离心率;w.w.w.k.s.5.u.c.o.m   

(2)求直线AB的斜率;w.w.w.k.s.5.u.c.o.m   

(3)设点C与点A关于坐标原点对称,直线上有一点的外接圆上,求 的值

查看答案和解析>>

科目:高中数学 来源: 题型:

(本小题满分14分)

      以知椭圆的两个焦点分别为,过点的直线与椭圆相交与两点,且

(1)       求椭圆的离心率;     

(2)       求直线AB的斜率;     

(3)       设点C与点A关于坐标原点对称,直线上有一点的外接圆上,求的值     

查看答案和解析>>

科目:高中数学 来源:2011-2012年浙江省高二第一学期期中考试理科数学 题型:解答题

((本小题10分) 已知椭圆的两个焦点为,点在椭圆G上,且,且,斜率为1的直线与椭圆G交与A、B两点,以AB为底边作等腰三角形,顶点为P(-3,2).

    (1)求椭圆G的方程;

    (2)求的面积.

 

 

查看答案和解析>>

科目:高中数学 来源: 题型:

(2009天津卷理)(本小题满分14分)

      以知椭圆的两个焦点分别为,过点的直线与椭圆相交与两点,且

(1)       求椭圆的离心率;

(2)       求直线AB的斜率;

(3)       设点C与点A关于坐标原点对称,直线上有一点的外接圆上,求的值

查看答案和解析>>

同步练习册答案