精英家教网 > 高中数学 > 题目详情

双曲线的渐近线方程为_____; 若双曲线的右顶点为,过的直线与双曲线的两条渐近线交于两点,且,则直线的斜率为_____.

 

【答案】

【解析】

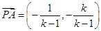
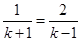
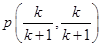
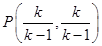
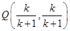
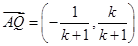
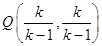
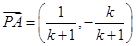
试题分析:由双曲线的方程可得,其渐近线方程为;双曲线的右顶点坐标为,可设直线的斜率为,若不存在,则直线垂直于轴,此时有不满足题意,所以存在,则直线的方程为,分别与双曲线的渐近线方程联立,可求出两交点坐标分别为或者,则或者,又,所以或者解得.

考点:1.双曲线;2.向量

 

练习册系列答案
相关习题

科目:高中数学 来源: 题型:

已知抛物线y2=2px(p>0)焦点F恰好是双曲线
x2
a2
-
y2
b2
=1
的右焦点,且双曲线过点(
3a2
p
2b2
p
),则该双曲线的渐近线方程为
 

查看答案和解析>>

科目:高中数学 来源: 题型:

已知双曲线的渐近线方程为2x±3y=0.若双曲线的焦距是2
3
,求双曲线的标准方程.

查看答案和解析>>

科目:高中数学 来源: 题型:

(2012•许昌三模)焦点在x轴,中心在原点的双曲线的渐近线方程为x±2y=0,则双曲线的离心率为(  )

查看答案和解析>>

科目:高中数学 来源: 题型:

双曲线x2+my2=1的虚轴长是实轴长的2倍,则双曲线的渐近线方程为(  )

查看答案和解析>>

科目:高中数学 来源: 题型:

【文科】若双曲线的渐近线方程为y=±3x,一个焦点是(0,
10
)
,则双曲线的方程是
 

查看答案和解析>>

同步练习册答案