精英家教网 > 高中数学 > 题目详情
等比数列的公比为2,且前4项之和等于30,那么前8项之和等于   
【答案】分析:利用等比数列的公比为2,且前4项之和等于30,求出首项,再利用等比数列的求和公式,即可得到结论.
解答:解:设等比数列的首项为a1,则
∵等比数列的公比为2,且前4项之和等于30,

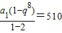
∴a1=2
∴前8项之和等于
故答案为:510.
点评:本题考查等比数列的求和公式,考查学生的计算能力,属于基础题.
练习册系列答案
相关习题

科目:高中数学 来源: 题型:

14、等比数列的公比为2,前4项之和等于10,则前8项之和等于
170

查看答案和解析>>

科目:高中数学 来源: 题型:

已知等比数列的公比为2,且前四项之和等于1,那么前八项之和等于
 

查看答案和解析>>

科目:高中数学 来源: 题型:

已知等比数列的公比为2,且前三项之和等于1,那么前六项之和等于
9
9

查看答案和解析>>

科目:高中数学 来源: 题型:

给出下列一些说法:
(1)已知△ABC中,acosB=bcosA,则△ABC为等腰或直角三角形.
(2)已知△ABC中,acosA=bcosB,则△ABC为等腰或直角三角形.
(3)已知数列{an}满足
a
2
n+1
a
2
n
=p(p为正常数,n∈N*),则称{an}为“等方比数列”.若数列{an}是等方比数列则数列{an}必是等比数列.
(4)等比数列{an}的前3项的和等于首项的3倍,则该等比数列的公比为-2.
其中正确的说法的序号依次是
(2)
(2)

查看答案和解析>>

科目:高中数学 来源: 题型:

若等比数列的公比为2,且前4项和为1,则这个等比数列的前8项和等于(  )

查看答案和解析>>

同步练习册答案