精英家教网 > 高中数学 > 题目详情

已知数列的前项和是,且.求数列的通项公式;

 

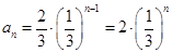
【答案】

【解析】

试题分析:由题意根据数列前项和定义,尽可能对条件进行挖掘利用,因为,所以由条件可求出数列的首项,当时,有,由条件可得,即,从而发现数列是以首项为,公比为的等比数列,再由等比数列的通项公式可求得数列的通项公式.

试题解析:当时,,∴;       2分

时,          4分

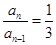
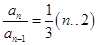
两式相减得,即,又,∴    8分

∴数列是以为首项,为公比的等比数列.      10分

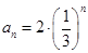
      12分

考点:1.数列前项和定义;2.等比数列.

 

练习册系列答案
相关习题

科目:高中数学 来源:2012-2013学年福建安溪一中、养正中学高三上学期期中联考理数学试卷(解析版) 题型:解答题

(本小题满分13分)已知数列的前项和是,且 .

 (Ⅰ)求数列的通项公式;

 (Ⅱ)记,求数列的前项和 .

 

查看答案和解析>>

科目:高中数学 来源:2014届四川省成都市六校协作体高一下学期期中联考数学试卷(解析版) 题型:解答题

已知数列的前项和是,满足.

(Ⅰ)求数列的通项及前项和

(Ⅱ)若数列满足,求数列的前项和

(Ⅲ)若对任意的,恒有成立,求实数的取值范围

 

查看答案和解析>>

科目:高中数学 来源:2010-2011学年广东省海珠区高三第一次综合测试数学理卷 题型:解答题

(本小题满分14分)

已知数列的前项和是,满足.

(1)求数列的通项及前项和;

(2)若数列满足,求数列的前项和;

(3)若对任意的,恒有成立,求实数的取值范围.

 

查看答案和解析>>

科目:高中数学 来源:2012届福建省三明市高三第一学期测试文科数学试卷 题型:解答题

已知数列的前项和是,且 .

(Ⅰ)求数列的通项公式;

(Ⅱ)记,求数列的前项和

 

查看答案和解析>>

科目:高中数学 来源:2013届河南省商丘市高二第一学期第二次月考数学试卷 题型:选择题

已知数列的前项和是实数),下列结论正确的是 (   )

A.为任意实数,均是等比数列     

B.当且仅当时,是等比数列 

C.当且仅当时,是等比数列    

D.当且仅当时,是等比数列

 

查看答案和解析>>

同步练习册答案