精英家教网 > 高中数学 > 题目详情

(1)用a表示f(x)的最大值M(a);
(2)当M(a)=2时,求a的值.
【答案】分析:(1)用二倍角公式对f(x)化简得f(x)=-sin2x+asinx+,设sinx=t,则函数g(t)是开口向下,对称轴为t=的抛物线,根据二次函数的性质,对a进行讨论得出答案.
(2)M(a)=2代入(1)中的M(a)的表达式即可得出结果.
解答:解:(1)f(x)=cos2x+asinx-=-sin2x+asinx+
∵0≤x≤
∴0≤sinx≤1
令sinx=t,则g(t)=-t2+at+,t∈[0,1]
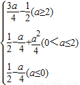
∴M(a)=
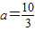
(2)当M(a)=2时,
或a=-2(舍);
或a=-6.
点评:本题主要考查了三角函数恒等变换的应用和二次函数的性质.在二次函数的性质的使用的时候要特别注意对称轴的位置.
练习册系列答案
相关习题

科目:高中数学 来源: 题型:

f(x)=
1
2
cos2x+asinx-
a
4
(0≤x≤
π
2
)

(1)用a表示f(x)的最大值M(a);
(2)当M(a)=2时,求a的值.

查看答案和解析>>

科目:高中数学 来源: 题型:

设函数f(x)=cos2x+asinx-
a
4
-
1
2

(1)当 0≤x≤
π
2
时,用a表示f(x)的最大值M(a);
(2)当M(a)=2时,求a的值,并对此a值求f(x)的最小值.

查看答案和解析>>

科目:高中数学 来源: 题型:

已知f(x)=
12
x2
+2ax,g(x)=3a2lnx+b,其中a>0,设两曲线y=f(x),y=g(x)有公共点,且在该点处的切线相同
(1)用a表示b,并求b的最大值;
(2)求证:当x>0时,f(x)≥g(x).

查看答案和解析>>

科目:高中数学 来源:不详 题型:解答题

f(x)=
1
2
cos2x+asinx-
a
4
(0≤x≤
π
2
)

(1)用a表示f(x)的最大值M(a);
(2)当M(a)=2时,求a的值.

查看答案和解析>>

同步练习册答案