精英家教网 > 高中数学 > 题目详情

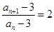
数列中,若,则该数列的通项(   )

A.     B.        C.       D.

 

【答案】

C

【解析】

试题分析:∵,∴,∴

是以-2为首项,以2为公比的等比数列,∴,∴.

考点:1.配凑法求数列的通项公式;2.等比数列的通项公式.

 

练习册系列答案
相关习题

科目:高中数学 来源: 题型:

(06年重庆卷理)在数列中,若,则该数列的通项               

查看答案和解析>>

科目:高中数学 来源:2013-2014学年辽宁实验中学分校高二上学期阶段性测试理科数学试卷(解析版) 题型:选择题

数列中,若,则该数列的通项(   )

A.     B.        C.       D.

 

查看答案和解析>>

科目:高中数学 来源: 题型:

(08年周至二中一模理) 在数列中,若,则该数列的通项               

查看答案和解析>>

科目:高中数学 来源:广西南宁二中2010届高三月考(理) 题型:填空题

 在数列中,若,则该数列的通项=            

 

查看答案和解析>>

同步练习册答案