精英家教网 > 高中数学 > 题目详情

已知集合,,

(Ⅰ)求,

(Ⅱ)若,求实数的取值范围.

 

【答案】

(Ⅰ),

(Ⅱ)

【解析】

试题分析:(Ⅰ)知道利用并集定义得出,再求出,最后求出,主要是交、并、补集的运算;(Ⅱ)由(Ⅰ)知,又C为的子集,可求得实数的取值范围.

试题解析:(Ⅰ)            (2分)

因为                 (4分)

所以               (6分)

(Ⅱ)由(Ⅰ)知

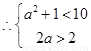
恒成立,故

                   (12分)

考点:集合的运算,及子集的特征.

 

练习册系列答案
相关习题

科目:高中数学 来源: 题型:

已知集合A={x|x2-2x-3=0},B={x|ax=1},若B∩A=B,实数a的值为(  )

查看答案和解析>>

科目:高中数学 来源: 题型:

已知集合M={x|1<x<4},N={1,2,3,4,5},则M∩N=(  )

查看答案和解析>>

科目:高中数学 来源: 题型:

已知集合A={(x,y)|(x-1)2+y2≤4,x,y∈R}与集合B={(x,y)|x-y+m≤0},且恒满足A⊆B,则实数m的取值范围为(  )

查看答案和解析>>

科目:高中数学 来源: 题型:

已知集合A={x|x2-4=0},集合B={x|ax-2=0},若B⊆A,求实数a的取值集合.

查看答案和解析>>

科目:高中数学 来源: 题型:

已知集合A={x|-2≤x≤7},B={x|m+1<x<2m-1},若A∩B=B,求实数m的取值范围.

查看答案和解析>>

同步练习册答案