精英家教网 > 高中数学 > 题目详情
已知数列满足,数列满足
(1)求数列的通项公式;
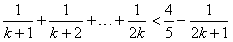
(2)设数列的前n项和为,求证:当时,
(3)求证:当时,
(1)解:由题意,得


(2)解:由(1)知,
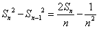
时,,即
平方,得

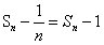
叠加,得


(3)证明:当n=2时,,即n=2时,命题成立;
假设命题成立,即

时,


时,命题成立;
综上,对于任意
练习册系列答案
相关习题

科目:高中数学 来源: 题型:

已知数列满足,则数列的通项公式=__.

查看答案和解析>>

科目:高中数学 来源:2015届浙江省高一下学期期中数学试卷(解析版) 题型:解答题

已知数列满足;数列满足

(1)求数列的通项公式;

(2)求数列的前项和

 

查看答案和解析>>

科目:高中数学 来源:2011-2012学年重庆市高三第三次模拟测试题文科数学 题型:填空题

已知数列满足,则数列的通项_______________.

 

查看答案和解析>>

科目:高中数学 来源:2011-2012学年广东省汕头市高三毕业班教学质量检测理科数学 题型:解答题

(本小题满分14分)

已知数列满足:

   (Ⅰ)探究数列是等差数列还是等比数列,并由此求数列的通项公式;

   (Ⅱ)求数列的前n项和

 

查看答案和解析>>

科目:高中数学 来源:2010年河北省2010-2011学年高三第一次月考数学卷 题型:解答题

(本小题满分12分)

    设为等比数列,且其满足:

   (1)求的值及数列的通项公式;

   (2)已知数列满足,求数列的前n项和

 

查看答案和解析>>

同步练习册答案