精英家教网 > 高中数学 > 题目详情

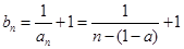
已知是首项为a,公差为1的等差数列,.若对任意的,都有成立,则实数a的取值范围是        

 

【答案】

【解析】

试题分析:由等差数列的通项公式可得,则,由函数的图象可知关于点对称,则可解得

考点:1.等差数列的通项;2.函数的图象;3.分式函数的最值

 

练习册系列答案
相关习题

科目:高中数学 来源: 题型:

已知,{an}是首项为a公差为1的等差数列,bn=
1+anan
.如对任意的n∈N*,都有bn≥b8,成立,则a的取值范围是
 

查看答案和解析>>

科目:高中数学 来源:2011届广东省实验中学、华师附中、深圳中学、广雅中学高三上学期期末数学理卷 题型:单选题

已知等差数列首项为,公差为,等比数列首项为,公比为,其中都是大于1的正整数,且,对于任意的,总存在,使得成立,则                                (   )

A.B.C.D.

查看答案和解析>>

科目:高中数学 来源:2010-2011学年广东省、华师附中、深圳中学、广雅中学高三上学期期末数学理卷 题型:选择题

已知等差数列首项为,公差为,等比数列首项为,公比为,其中都是大于1的正整数,且,对于任意的,总存在,使得成立,则                                  (    )

    A.         B.         C.         D.

 

查看答案和解析>>

科目:高中数学 来源:2010-2011学年广东省、华师附中、深圳中学、广雅中学高三上学期期末数学理卷 题型:选择题

已知等差数列首项为,公差为,等比数列首项为,公比为,其中都是大于1的正整数,且,对于任意的,总存在,使得成立,则                                  (    )

    A.         B.         C.         D.

 

查看答案和解析>>

同步练习册答案