精英家教网 > 高中数学 > 题目详情
在棱长为1的正方体ABCD-A1B1C1D1中,E,F分别是D1D,BD的中点,G在棱CD上,且,H为C1G的中点,应用空间向量方法求解下列问题.
(1)求证:EF⊥B1C;
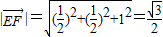
(2)求EF与C1G所成的角的余弦;
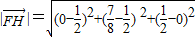
(3)求FH的长.

【答案】分析:(1)建立空间直角坐标系,可求出 ,再利用向量数量积的坐标计算可得 =0即可证得EF⊥B1C.
(2)由(1)知,从而可计算相应的模与数量积,利用向量的数量积的坐标公式,可求EF与C1G所成角的余弦值;
(3)分别表示出F,H的坐标,从而可求向量FH的模,进而可得FH的长.
解答:解:以D为坐标原点,建立如图所示的空间直角坐标系D-xyz.
则E(),   
(1)∵

(2)由(1)知…(4分)
,…(5分)
…(6分)
…(7分)

故EF与C1G所成角的余弦值为.…(8分)
(3)∵H为C1G的中点


=
…(10分)
点评:本题以正方体为载体,主要考查线线垂直的证明和线线角的求解.解题的关键是建立空间直角坐标系,利用空间向量求解立体几何问题.
练习册系列答案
相关习题

科目:高中数学 来源: 题型:

11、如图所示在棱长为1的正方体ABCD-A1B1C1D1中,点P在线段AD1上运动,给出以下四个命题:
①异面直线C1P和CB1所成的角为定值;
②二面角P-BC1-D的大小为定值;
③三棱锥D-BPC1的体积为定值;
④直线CP与直线ABC1D1所成的角为定值.
其中真命题的个数为(  )

查看答案和解析>>

科目:高中数学 来源: 题型:

在棱长为1的正方体ABCD-A1B1C1D1中,异面直线AB与CD1之间的距离是(  )

查看答案和解析>>

科目:高中数学 来源: 题型:

在棱长为1的正方体ABCD-A1B1C1D1中,M和N分别为A1B1 和BB1的中点,那么直线AM与CN所成角的余弦值是(  )

查看答案和解析>>

科目:高中数学 来源: 题型:

(理科)如图,在棱长为1的正方体A'C中,过BD及B'C'的中点E作截面BEFD交C'D'于F.
(1)求截面BEFD与底面ABCD所成锐二面角的大小;
(2)求四棱锥A'-BEFD的体积.

查看答案和解析>>

科目:高中数学 来源: 题型:

(2004•武汉模拟)(文科)在棱长为1的正方体ABCD-A′B′C′D′中,AC′为对角线,M、N分别为BB′,B′C′中点,P为线段MN中点.
(1)求DP和平面ABCD所成的角的正切;
(2)求四面体P-AC′D′的体积.

查看答案和解析>>

同步练习册答案