精英家教网 > 高中数学 > 题目详情

函数的图像与函数()的图像所有交点的横坐标之和等于(  )      

A.2        B.4        C.6        D.8

 

【答案】

D

【解析】

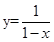
试题分析:令,则;则化为,化为.

因为,,所以,,即.均为上的奇函数,令,若有使得,则必有也使成立.

此时,的值分别为,他们的和为2。另外由于有意义,故z≠0,排除了交点为奇数个的情形。问题转化为求上的零点有几对的问题。画出的图像,

交点共有四对,横坐标之和为8,故选D..

考点:函数的图象,函数方程,函数的奇偶性.

 

练习册系列答案
相关习题

科目:高中数学 来源: 题型:

若函数的图像与函数的图像关于直线对称,则(    )

A.              B.          C.              D.

查看答案和解析>>

科目:高中数学 来源: 题型:

已知函数的图像与函数的图像恰有两个交点,则实数的取值范围是        .

查看答案和解析>>

科目:高中数学 来源:2011届河北省唐山一中高三高考冲刺热身考试文数 题型:解答题


(本题满分12分)
已知函数 .
(1)若上是增函数, 求实数a的取值范围.
(2)若的极大值点,求上的最大值;
(3)在(2)的条件下,是否存在实数b,使得函数的图像与函数的图像恰有3个交点,若存在,求出b的取值范围,若不存在,说明理由.

查看答案和解析>>

科目:高中数学 来源:2013年全国普通高等学校招生统一考试理科数学(湖南卷解析版) 题型:选择题

函数的图像与函数的图像的交点个数为(    )

A.3                B.2                C.1                D.0

 

查看答案和解析>>

科目:高中数学 来源:2012年全国普通高等学校招生统一考试文科数学(天津卷解析版) 题型:填空题

已知函数的图像与函数的图像恰有两个交点,则实数的取值范围是        .

 

查看答案和解析>>

同步练习册答案