精英家教网 > 高中数学 > 题目详情
设{an}是公差不为0的等差数列,a1=2且a1,a3,a6成等比数列,则{an}的前n项和Sn=( )
A.
B.
C.
D.n2+n
【答案】分析:设数列{an}的公差为d,由题意得(2+2d)2=2•(2+5d),解得或d=0(舍去),由此可求出数列{an}的前n项和.
解答:解:设数列{an}的公差为d,
则根据题意得(2+2d)2=2•(2+5d),
解得或d=0(舍去),
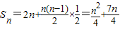
所以数列{an}的前n项和
故选A.
点评:本题考查数列的性质和应用,解题时要认真审题,仔细解答.
练习册系列答案
相关习题

科目:高中数学 来源: 题型:

设{an}是公差不为0的等差数列,a1=2且a1,a3,a6成等比数列,则{an}的前n项和Sn=(  )
A、
n2
4
+
7n
4
B、
n2
3
+
5n
3
C、
n2
2
+
3n
4
D、n2+n

查看答案和解析>>

科目:高中数学 来源: 题型:

设{an}是公差不为0的等差数列,a1=2且a1,a3,a6成等比数列,则{an}的通项公式为an=
n+3
2
n+3
2

查看答案和解析>>

科目:高中数学 来源: 题型:

(2012•佛山一模)设{an}是公差不为0的等差数列,a1=2且a1,a3,a6成等比数列,则{an}的前5项和S5=(  )

查看答案和解析>>

科目:高中数学 来源: 题型:

设{an}是公差不为零的等差数列,Sn为其前n项和,满足S6=0,S7=7,求数列{an}的通项公式及前n项和Sn

查看答案和解析>>

科目:高中数学 来源: 题型:

设{an}是公差不为0的等差数列,a1=2,且a1,a3,a6成等比数列,则a5的值为
4
4

查看答案和解析>>

同步练习册答案