精英家教网 > 高中数学 > 题目详情
两县城A和B相距20km,现计划在两县城外以AB为直径的半圆弧上选择一点C建造垃圾处理厂,其对城市的影响度与所选地点到城市的距离有关,对城A和城B的总影响度为城A与城B的影响度之和,记C点到城A的距离为x km,建在C处的垃圾处理厂对城A和城B的总影响度为y,统计调查表明:垃圾处理厂对城A的影响度与所选地点到城A的距离的平方成反比,比例系数为4;对城B的影响度与所选地点到城B的距离的平方成反比,比例系数为k,当垃圾处理厂建在的中点时,对城A和城B的总影响度为0.065.
(1)将y表示成x的函数;
(2)讨论(1)中函数的单调性,并判断弧上是否存在一点,使建在此处的垃圾处理厂对城A和城B的总影响度最小?若存在,求出该点到城A的距离;若不存在,说明理由.
【答案】分析:(1)先利用AC⊥BC,求出BC2=400-x2,再利用圾处理厂对城A的影响度与所选地点到城A的距离的平方成反比,比例系数为4;对城B的影响度与所选地点到城B的距离的平方成反比,比例系数为k,得到y和x之间的函数关系,最后利用垃圾处理厂建在的中点时,对城A和城B的总影响度为0.065求出k即可求出结果.
(11)先求出导函数以及导数为0的根,进而求出其单调区间,找到函数的最小值即可.
解答:解(1)由题意知AC⊥BC,BC2=400-x2
其中当时,y=0.065,
所以k=9
所以y表示成x的函数为
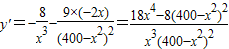
(2)
令y'=0得18x4=8(400-x22
所以x2=160,即
时,18x4<8(400-x22,即y'<0所以函数为单调减函数,
时,18x4>8(400-x22,即y'>0所以函数为单调增函数.
所以当时,即当C点到城A的距离为时,函数有最小值.
(注:该题可用基本不等式求最小值.)
点评:本题主要考查函数在实际生活中的应用问题.涉及到函数解析式的求法以及利用导数研究函数的最值问题,属于中档题目,关键点在于把文字转化为数学符号.
练习册系列答案
相关习题

科目:高中数学 来源:江苏省泰州中学2010-2011学年高二下学期期中考试数学文科试题 题型:044

两县城A和B相距20 km,现计划在两县城外以AB为直径的半圆弧上选择一点C建造垃圾处理厂,其对城市的影响度与所选地点到城市的的距离有关,对城A和城B的总影响度为城A与城B的影响度之和,记C点到城A的距离为x km,建在C处的垃圾处理厂对城A和城B的总影响度为y,统计调查表明:垃圾处理厂对城A的影响度与所选地点到城A的距离的平方成反比,比例系数为4;对城B的影响度与所选地点到城B的距离的平方成反比,比例系数为k,当垃圾处理厂建在的中点时,对城A和城B的总影响度为0.065.

(1)按下列要求建立函数关系式:

(i)设∠CBA=(rad),将y表示成的函数;并写出函数的定义域.

(ii)设AC=x(km),将y表示成x的函数;并写出函数的定义域.

(2)请你选用(1)中的一个函数关系确定垃圾处理厂的位置,使建在此处的垃圾处理厂对城A和城B的总影响度最小?

查看答案和解析>>

科目:高中数学 来源:江苏省泰州中学2010-2011学年高二下学期期中考试数学理科试题 题型:044

两县城A和B相距20 km,现计划在两县城外以AB为直径的半圆弧上选择一点C建造垃圾处理厂,其对城市的影响度与所选地点到城市的的距离有关,对城A和城B的总影响度为城A与城B的影响度之和,记C点到城A的距离为x km,建在C处的垃圾处理厂对城A和城B的总影响度为y,统计调查表明:垃圾处理厂对城A的影响度与所选地点到城A的距离的平方成反比,比例系数为4;对城B的影响度与所选地点到城B的距离的平方成反比,比例系数为k,当垃圾处理厂建在的中点时,对城A和城B的总影响度为0.065.

(1)按下列要求建立函数关系式:

(i)设∠CBA=(rad),将y表示成的函数;并写出函数的定义域.

(ii)设AC=x(km),将y表示成x的函数;并写出函数的定义域.

(2)请你选用(1)中的一个函数关系确定垃圾处理厂的位置,使建在此处的垃圾处理厂对城A和城B的总影响度最小?

查看答案和解析>>

科目:高中数学 来源:湖南省模拟题 题型:解答题

两县城A和B相距20 km,现计划在两县城外,以AB为直径的半圆弧上选择一点C建造垃圾处理厂,其对城市的影响度与所选地点到城市的距离有关,对城A和城B的总影响度为对城A与城B的影响度之和,记C点到城A的距离为x km,建在C处的垃圾处理厂对城A和城B的总影响度为y,统计调查表明:垃圾处理厂对城A的影响度与所选地点到城A的距离的平方成反比,比例系数为4;对城B的影响度与所选地点到城B的距离的平方成反比,比例系数为k,当垃圾处理厂建在的中点时,对城A和城B的总影响度为0.065,
(Ⅰ)将y表示成x的函数;
(Ⅱ)讨论(Ⅰ)中函数的单调性,并判断弧上是否存在一点,使建在此处的垃圾处理厂对城A和城B的总影响度最小?若存在,求出该点到城A的距离;若不存在,说明理由.

查看答案和解析>>

同步练习册答案