精英家教网 > 高中数学 > 题目详情

设等差数列的前项和为.且

(1)求数列的通项公式;

(2)若,数列满足:,求数列的前项和

 

【答案】

(1);(2).

【解析】

试题分析:(1)根据等差数列的通项公式、求和公式把已知等式表示成首项与公差的等式, 解方程组求得首项与公差,从而得出数列的通项公式;(2)有累加原理把表示为,利用则可转化为

,可用裂项相消法求出数列数列的前项和

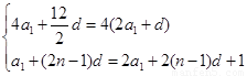
试题解析:(1)

,解得.         6分 

(2)由,当时,

也成立).

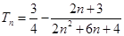
,                                                 9分

.                       13分

考点:等差数列的性质,叠加原理,裂项相消法求和.

 

练习册系列答案
相关习题

科目:高中数学 来源: 题型:

设等差数列的前项和为,且. 若,则___________.

查看答案和解析>>

科目:高中数学 来源: 题型:

设等差数列的前项和为,已知,则( )

  A.-2008          B.2008            C.-2010           D.2010

查看答案和解析>>

科目:高中数学 来源: 题型:

设等差数列的前项和为,若,则当取最小值时,

A.9              B.8              C.7              D.6

查看答案和解析>>

科目:高中数学 来源:2015届重庆一中高一下学期期末考试数学试卷(解析版) 题型:选择题

设等差数列的前项和为且满足中最大的项为(  )

A.             B.              C.              D.

 

查看答案和解析>>

科目:高中数学 来源:湖南师大附中2010届高三第一次模拟试卷 题型:填空题

设等差数列的前项和为,已知,则
等差数列的公差d=      .

查看答案和解析>>

同步练习册答案