精英家教网 > 高中数学 > 题目详情
如图,正三角形ABC按中线AD折叠,使得二面角B-AD-C的大小为60°,则∠BAC的余弦值为   
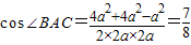
【答案】分析:根据正三角形ABC按中线AD折叠,二面角B-AD-C的大小为60°,可知,∠BDC=60°,从而在△ABC中,可求∠BAC的余弦值
解答:解:由题意,∠BDC=60°
假设正三角形的边长为2a,则BC=a
在△ABC中,AB=AC=2a

故答案为
点评:本题以正三角形为载体,主要考查平面图形的翻折问题,关键是搞清翻折前后变化与不变的量.
练习册系列答案
相关习题

科目:高中数学 来源: 题型:

精英家教网如图,正三角形ABC的边长为3,过其中心G作BC边的平行线,分别交AB、AC于B1、C1.将△AB1C1沿B1C1折起到△A1B1C1的位置,使点A1在平面BB1C1C上的射影恰是线段BC的中点M.求:
(1)二面角A1-B1C1-M的大小;
(2)异面直线A1B1与CC1所成角的大小.(用反三角函数表示)

查看答案和解析>>

科目:高中数学 来源: 题型:

如图①,正三角形ABC边长2,CD为AB边上的高,E、F分别为AC、BC中点,现将△ABC沿CD翻折成直二面角A-DC-B,如图②
(1)判断翻折后直线AB与面DEF的位置关系,并说明理由
(2)求二面角B-AC-D的余弦值
(3)求点C到面DEF的距离
精英家教网

查看答案和解析>>

科目:高中数学 来源: 题型:

如图,正三角形ABC按中线AD折叠,使得二面角B-AD-C的大小为60°,则∠BAC的余弦值为
7
8
7
8

查看答案和解析>>

科目:高中数学 来源: 题型:

如图,在正三角形ABC中,D、E、F分别为各边的中点,G、H、I、J分别为AF、AD、BE、DE的中点,将△ABC沿DE、EF、DF折成三棱锥以后,GH与IJ所成角的度数为_____________.

查看答案和解析>>

科目:高中数学 来源:2012年人教A版高中数学必修二空间点、直线、平面之间的位置关系练习卷(二) 题型:解答题

如图,正三角形ABC的边长为2,D、E、F分别为各边的中点将△ABC沿DE、EF、DF折叠,使A、B、C三点重合,构成三棱锥A— DEF  .

(I)求平面ADE与底面DEF所成二面角的余弦值

(Ⅱ)设点M、N分别在AD、EF上, (λ>O,λ为变量)

①当λ为何值时,MN为异面直线AD与EF的公垂线段? 请证明你的结论②设异面直线MN与AE所成的角为a,异面直线MN与DF所成的角为β,试求a+β 的值

 

查看答案和解析>>

同步练习册答案