精英家教网 > 高中数学 > 题目详情
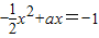
若关于x的不等式的解集为{x|-1<x<2},则实数a=( )
A.
B.
C.-2
D.2
【答案】分析:的解集是{x|-1<x<2},可知-1与2是方程的两根,代入方程可求得a的值.
解答:解:由的解集是{x|-1<x<2},可知-1与2是方程的两根,
,解得 a=
故选A.
点评:本题重点考查解一元二次不等式,解题的关键是由的解集是{x|-1<x<2},得出-1与2是方程的两根.
练习册系列答案
相关习题

科目:高中数学 来源: 题型:

选修4-5:不等式选讲
已知关于x的不等式|ax-1|+|ax-a|≥1(a>0).
(1)当a=1时,求此不等式的解集;
(2)若此不等式的解集为R,求实数a的取值范围.

查看答案和解析>>

科目:高中数学 来源: 题型:

选修4-5:不等式选讲
已知关于x的不等式|ax-2|+|ax-a|≥2(a>0).
(1)当a=1时,求此不等式的解集;
(2)若此不等式的解集为R,求实数a的取值范围.

查看答案和解析>>

科目:高中数学 来源:2014届湖南省四校高三上学期第三次联考文科数学试卷(解析版) 题型:选择题

若关于x的不等式的解集为,且函数在区间上不是单调函数,则实数的取值范围为 (    )

A.            B.

C.   D.

 

查看答案和解析>>

科目:高中数学 来源:2014届黑龙江庆安三中高一下学期期中文科数学试卷(解析版) 题型:填空题

若关于x的不等式的解集为,则m的值为         .

 

查看答案和解析>>

科目:高中数学 来源:2010-2011学年江西省九江市高三七校联考数学文卷 题型:填空题

若关于x的不等式的解集为空集,则实数a的取值范围为__________

 

查看答案和解析>>

同步练习册答案