精英家教网 > 高中数学 > 题目详情
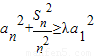
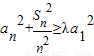
设首项不为零的等差数列{an}前n项之和是Sn,若不等式对任意{an}和正整数n恒成立,则实数λ的最大值为( )
A.0
B.
C.
D.1
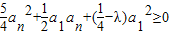
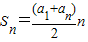
【答案】分析:由等差数列{an}前n项之和是Sn,我们利用等差数列的前n项和公式,可将不等式进行变形,配方后,根据实数的性质,易得实数λ的最大值.
解答:解:∵
可以变形成:


若不等式对任意{an}和正整数n恒成立
仅需要λ≤即可
则实数λ的最大值为
故选B
点评:数列是一种定义域为正整数的特殊函数,我们可以利用研究函数的方式研究它,特别是等差数列对应的一次函数,等比数列对应的指数型函数,我们要善于通过数列的通项公式、前n项和公式,或数列相关的一些性质,在解数列相关的不等式时,也可以利用配方法、放缩法等解不等式的方法.
练习册系列答案
相关习题

科目:高中数学 来源: 题型:

设首项不为零的等差数列{an}前n项之和是Sn,若不等式an2+
Sn2
n2
≥λa12
对任意{an}和正整数n恒成立,则实数λ的最大值为(  )
A、0
B、
1
5
C、
1
2
D、1

查看答案和解析>>

科目:高中数学 来源: 题型:

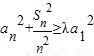
设首项不为零的等差数列{an}前n项之和是Sn,若不等式an2+
Sn2n2
≥λa12
对任意an和正整数n恒成立,则实数λ的最大值为
 

查看答案和解析>>

科目:高中数学 来源: 题型:

设首项不为零的等差数列项之和是,若不等式对任意和正整数恒成立,则实数的最大值为(   )

A.0                           B.                          C.                         D.1

查看答案和解析>>

科目:高中数学 来源: 题型:

设首项不为零的等差数列项之和是,若不等式对任意和正整数恒成立,则实数的最大值为(   )

A.0                              B.               C.                  D.1

查看答案和解析>>

科目:高中数学 来源:2012年江苏省四星高中高三数学小题训练(5)(解析版) 题型:解答题

设首项不为零的等差数列{an}前n项之和是Sn,若不等式对任意an和正整数n恒成立,则实数λ的最大值为   

查看答案和解析>>

同步练习册答案