精英家教网 > 高中数学 > 题目详情
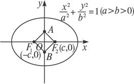
椭圆短轴上的两个三等分点与两个焦点构成一个正方形,则椭圆的离心率为

A.              B.                C.              D.

A

解析:如图,A、B为三等分点,F1、F2为焦点,

∵四边形AF1BF2为正方形,∴|OA|=|OF1|.又|OF1|=c,|OA|=,

∴b=c.又a2=b2+c2,∴10c2=a2.∴=e.∴椭圆的离心率为.

练习册系列答案
相关习题

科目:高中数学 来源: 题型:

精英家教网设椭圆
x2
a2
+
y2
b2
=1(a>b>0)
的左,右两个焦点分别为F1,F2,短轴的上端点为B,短轴上的两个三等分点为P,Q,且F1PF2Q为正方形.
(1)求椭圆的离心率;
(2)若过点B作此正方形的外接圆的切线在x轴上的一个截距为-
3
2
4
,求此椭圆方程.

查看答案和解析>>

科目:高中数学 来源: 题型:

已知椭圆短轴上的两个三等分点与两个焦点构成的四边形的周长等于长轴长,则椭圆的离心率为
10
8
10
8

查看答案和解析>>

科目:高中数学 来源: 题型:

椭圆短轴上的两个三等分点与两个焦点构成一个正方形,则椭圆的离心率为

A.                B.               C.              D.

查看答案和解析>>

科目:高中数学 来源:2007-2008学年江苏省盐城市东台市高二(上)期末数学试卷(理科)(解析版) 题型:填空题

已知椭圆短轴上的两个三等分点与两个焦点构成的四边形的周长等于长轴长,则椭圆的离心率为   

查看答案和解析>>

同步练习册答案