精英家教网 > 高中数学 > 题目详情
解关于x的不等式:ax2+(2a-1)x-2<0。
解:当a=0时,原不等式为-x-2<0x>-2
当a>0时,原不等式为

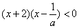
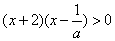
当a<0时,原不等式为
比较-2与的大小
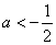
①a=-时,解为x≠-2;
时,解为或x<-2;
时,解为或x>-2。
练习册系列答案
相关习题

科目:高中数学 来源: 题型:

解关于x的不等式
2x2-(a+1)x+1x(x-1)
>1
(其中a>1)

查看答案和解析>>

科目:高中数学 来源: 题型:

设a>0且a≠1,解关于x的不等式:a 3x2-3x+2>a 3x2+2x-3

查看答案和解析>>

科目:高中数学 来源: 题型:

解不等式:解关于x的不等式:
(a+1)x2-2ax+1
<x
(其中a>0)

查看答案和解析>>

科目:高中数学 来源: 题型:

(2008•湖北模拟)已知f(x)是二次函数,不等式f(x)<0的解集是(0,5),且f(x)在区间[-1,4]上的最大值是12.
(Ⅰ)求f(x)的解析式;
(Ⅱ)解关于x的不等式
2x2+(a-10)x+5f(x)
>1  (a<0)

查看答案和解析>>

科目:高中数学 来源: 题型:

已知F(x)=kx+b的图象与直线x-y-1=0垂直且在y轴上的截距为3,
(1)求F(x)的解析式;
(2)设a>2,解关于x的不等式
x2-(a+3)x+2a+3f(x)
<1

查看答案和解析>>

同步练习册答案