精英家教网 > 高中数学 > 题目详情
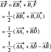
如图所示,在正方体ABCD-A1B1C1D1中,E 、F 分别是BB1 、D1B1的中点.求证:EF ⊥平面B1AC.
证明:设

=(-a+b+c),
=a+b.

,即EF⊥AB1
同理,EF⊥B1C.又AB1∩B1C=B1
∴EF⊥平面B1AC.
练习册系列答案
相关习题

科目:高中数学 来源: 题型:

精英家教网如图所示,在正方体ABCD-A1B1C1D1中,E为AB的中点
(1)若F为AA1的中点,求证:EF∥面DD1C1C;
(2)若F为AA1的中点,求二面角A-EC-D1的余弦值.

查看答案和解析>>

科目:高中数学 来源: 题型:

12、如图所示,在正方体ABCD-A1B1C1D1中,P为中截面的中心,则△PA1C1在该正方体各个面上的射影可能是(  )

查看答案和解析>>

科目:高中数学 来源: 题型:

(2011•宝山区二模)如图所示,在正方体ABCD-A1B1C1D1的侧面ABB1A1内有一动点P到直线A1B1和直线BC的距离相等,则动点P所在曲线形状为(  )

查看答案和解析>>

科目:高中数学 来源: 题型:

如图所示,在正方体ABCD-A1B1C1D1的侧面AB1内有一动点P到直线A1B1与直线BC的距离相等,则动点P所在曲线的形状为(  )

查看答案和解析>>

科目:高中数学 来源: 题型:

精英家教网如图所示,在正方体ABCD-A1B1C1D1中,点E是棱CC1上的一个动点,平面BED1交棱AA1于点F.则下列命题中假命题是(  )

查看答案和解析>>

同步练习册答案