精英家教网 > 高中数学 > 题目详情
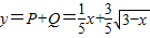
销售甲,乙两种商品所得利润分别为P(万元)和Q(万元),它们与投入资金t(万元)的关系有经验公式.今将3万元资金投入经营甲,乙两种商品,其中对甲种商品投资x万元
(1)试建立总利润y(万元)关于x的函数表达式
(2)求x为多少时,总利润y最大?并写出最大利润.
【答案】分析:(1)通过设出甲投资以及乙投资的数目,设立函数表达式,根据函数式直接写出定义域.
(2)首先要对(1)的函数分析,设,然后根据一元二次方程的求最值方法求解.
解答:解:(1)因为对甲种商品投资x万元,
所以对乙种商品投资为3-x万元
由题意知:(0≤x≤3)
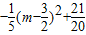
(2)设
则m≥0且x=3-m2
==
所以当
即:
也就是万元时,
总利润最大,万元
故:应甲种商品投资万元,对乙种商品投资万元时,
总利润最大,最大值为万元.
点评:本题考查函数模型的选择与应用,通过对实际问题的分析,构造数学模型从而解决问题.需要对知识熟练的掌握并应用,属于基础题.
练习册系列答案
相关习题

科目:高中数学 来源: 题型:

有甲、乙两种商品,经营销售这两种商品所能获得的利润依次是P(万元)和Q(万元),它们与投入资金x(万元)的关系有经验公式:P=
x
5
,Q=
3
5
x
.今有3万元资金投入经营甲、乙两种商品,为获得最大利润,对甲、乙两种商品的资金投入分别应为多少?能获得最大利润是多少?

查看答案和解析>>

科目:高中数学 来源: 题型:

销售甲、乙两种商品所得利润分别是y1、y2万元,它们与投入资金x万元的关系分别为y1=m
x+1
+a
,y2=bx,(其中m,a,b都为常数),函数y1,y2对应的曲线C1、C2如图所示.
(1)求函数y1、y2的解析式;
(2)若该商场一共投资4万元经销甲、乙两种商品,求该商场所获利润的最大值.

查看答案和解析>>

科目:高中数学 来源: 题型:

有甲、乙两种商品,经营销售这两种商品所能获得的利润依次为Q1万元和Q2万元,它们与投入资金的关系是Q1=0.4x,Q2=-0.2x2+1.6x,今有10万元资金投入经营甲、乙两种商品,为获得最大利润,对甲、乙两种商品的资金投入应分别为多少?并求最大利润是多少?

查看答案和解析>>

科目:高中数学 来源: 题型:解答题

销售甲、乙两种商品所得利润分别是y1、y2万元,它们与投入资金x万元的关系分别为数学公式,y2=bx,(其中m,a,b都为常数),函数y1,y2对应的曲线C1、C2如图所示.
(1)求函数y1、y2的解析式;
(2)若该商场一共投资4万元经销甲、乙两种商品,求该商场所获利润的最大值.

查看答案和解析>>

科目:高中数学 来源:2012-2013学年江苏省泰州市高一(上)期末数学试卷(解析版) 题型:解答题

销售甲、乙两种商品所得利润分别是y1、y2万元,它们与投入资金x万元的关系分别为,y2=bx,(其中m,a,b都为常数),函数y1,y2对应的曲线C1、C2如图所示.
(1)求函数y1、y2的解析式;
(2)若该商场一共投资4万元经销甲、乙两种商品,求该商场所获利润的最大值.

查看答案和解析>>

同步练习册答案