精英家教网 > 高中数学 > 题目详情
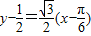
正弦函数y=sinx在x=处的切线方程为   
【答案】分析:先求导函数,利用导函数在x=处可知切线的斜率,进而求出切点的坐标,即可求得切线方程.
解答:解:由题意,设f(x)=sinx,∴f′(x)=cosx
当x=时,
∵x=时,y=
∴正弦函数y=sinx在x=处的切线方程为

故答案为:
点评:本题以正弦函数为载体,考查导数的几何意义,解题的关键是利用导数在切点的函数值为切线的斜率.
练习册系列答案
相关习题

科目:高中数学 来源: 题型:

设正弦函数y=sinx在x=0和x=
π
2
附近的平均变化率为k1,k2,则k1,k2的大小关系为(  )
A、k1>k2
B、k1<k2
C、k1=k2
D、不确定

查看答案和解析>>

科目:高中数学 来源: 题型:

给出以下四个命题:
①若
a
b
=0
,则
a
=
0
b
=
0

②简单随机抽样、系统抽样、分层抽样的共同特点是:抽样过程中每个个体被抽到的机会均等;
③正弦函数y=sinx在第一象限是增函数;
④若数列an=n2+λn(n∈N+)为单调递增数列,则λ取值范围是λ>-3;
其中正确命题的序号为
 
.(写出所有你认为正确的序号)

查看答案和解析>>

科目:高中数学 来源: 题型:

正弦函数y=sinx在x=
π
6
处的切线方程为
6
3
x-12y+6-
3
π=0
6
3
x-12y+6-
3
π=0

查看答案和解析>>

科目:高中数学 来源: 题型:

求正弦函数y=sinx,x∈[0,
2
]
和直线x=
2
及x轴所围成的平面图形的面积.

查看答案和解析>>

科目:高中数学 来源: 题型:

下列结论中正确的序号是(将所有正确的序号都填上)
①③
①③

①正弦函数y=sinx图象的一个对称中心是(π,0);
②直线x=-π不是余弦函数y=cosx图象的一条对称轴方程;
③正弦函数y=sinx的对称轴方程是x=kπ-
π2
,k∈Z;
④正切函数y=tanx的对称中心是点M(kπ,0),k∈Z.

查看答案和解析>>

同步练习册答案