精英家教网 > 高中数学 > 题目详情

已知数列都是公差为1的等差数列,其首项分别为,且则数列的前10项和等于______.

 

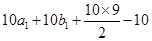
【答案】

【解析】

试题分析:数列到底是什么暂时不知,因此我们试着把其前10项的和表示出来,.

考点:等差数列的通项公式与前和公式.

 

练习册系列答案
相关习题

科目:高中数学 来源: 题型:

已知数列{an},{bn}都是公差为1的等差数列,其首项分别为a1,b1,且a1+b1=5,a1,b1∈N*,设cn=abn(n∈N*),则数列{cn}的前10项和等于
 

查看答案和解析>>

科目:高中数学 来源: 题型:

已知数列{an} 是公差为d(d≠0)的等差数列,Sn为其前n项和.
(1)若a2,a3,a6依次成等比数列,求其公比q;
(2)若
OPn
=(n,
Sn
n
)(n∈N*)
,求证:对任意的m,n∈N*,向量
PmPn
与向量
b
=(2,d)
共线;
(3)若a1=1,d=
1
2
OQn
=(
an
n
Sn
n2
)(n∈N*)
,问是否存在一个半径最小的圆,使得对任意的n∈N*,点Qn都在这个圆内或圆周上.

查看答案和解析>>

科目:高中数学 来源: 题型:013

(2006天津,7)已知数列都是公差为1的等差数列,其首项分别为,且.设 ,则数列的前10项和等于

[  ]

A55

B70

C85

D100

查看答案和解析>>

科目:高中数学 来源:2013-2014学年上海市长宁区高三上学期教学质量检测理科数学试卷(解析版) 题型:填空题

已知数列都是公差为1的等差数列,其首项分别为,且则数列的前10项和等于______.

 

查看答案和解析>>

同步练习册答案