精英家教网 > 高中数学 > 题目详情

已知等差数列的首项,前项和为

(I)求

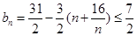
(Ⅱ)设,求的最大值.

 

【答案】

(1);(2)的最大值为

【解析】

试题分析:本题主要考查等差数列的概念与通项公式、求和公式、不等式等基础知识,同时考查运算求解能力.第一问,利用等差数列的通项公式将展开,用表示,将代入,求出,代入到等差数列的通项公式和前n项和公式中;第二问,将第一问的结论代入,整理表达式,利用基本不等式求的最小值,从而求出的最大值.

试题解析:(Ⅰ) 设公差为,由题意知

解得

.             8分

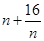
(Ⅱ) 由(I)得

由基本不等式得

所以,又当时,

从而得的最大值为.                      14分

考点:1.等差数列的通项公式;2.基本不等式;3.等差数列的前n项和公式.

 

练习册系列答案
相关习题

科目:高中数学 来源: 题型:

已知等差数列的首项a1和公差d是方程x2-2x-3=0的两根,且知d>a1,则这个数列的第30项是(  )

查看答案和解析>>

科目:高中数学 来源:2013-2014学年山西省高三上学期期中考试文科数学试卷(解析版) 题型:解答题

已知等差数列的首项,公差.且分别是等比数列.

(1)求数列的通项公式;

(2)设数列对任意自然数均有 成立,求的值.

 

查看答案和解析>>

科目:高中数学 来源:2012-2013学年湖北省八市高三三月调考理科数学试卷(解析版) 题型:解答题

已知等差数列的首项,公差.且分别是等比数列

(Ⅰ)求数列的通项公式;

(Ⅱ)设数列对任意自然数均有 成立,求  的值.

 

查看答案和解析>>

科目:高中数学 来源:2012-2013学年江西南昌10所省高三第二次模拟突破冲刺文科数学(二)(解析版) 题型:填空题

已知等差数列的首项为,公差为,其前项和为,若直线与圆的两个交点关于直线对称,则=          

 

查看答案和解析>>

科目:高中数学 来源:2011-2012年山东省济宁市高二上学期期中考试理科数学 题型:解答题

(本题满分12分)

已知等差数列的首项为,公差为b,且不等式的解集为 .

(1)求数列的通项公式及前n项和公式 ;

(2)求数列的前n项和Tn .

 

查看答案和解析>>

同步练习册答案