精英家教网 > 高中数学 > 题目详情
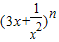
若二项式的展开式中各项系数的和是64,则这个展开式中的常数项为    .(用数字作答)
【答案】分析:利用二项式各项系数的和和公式列出方程求出n的值,将n的值代入二项式,利用二项展开式的通项公式求出展开式的通项,令x的指数为0求出r的值,将r的值代入通项求出常数项.
解答:解:∵当x=1时可以求得开式中各项的系数的和为4n
令4n=64
解得n=3
=
展开式的通项为Tr+1=C3r(3x)3-r=33-r×C3r×x3-3r
令3-3r=0得r=1
∴展开式中的常数项的值为32×C31=27.
故答案为:27.
点评:解决二项展开式的特定项问题一般利用二项展开式的通项公式;二项式系数和公式为2n.令x=1可得所有项系数的和.
练习册系列答案
相关习题

科目:高中数学 来源:2011年福建省高二上学期期末考试数学理卷 题型:选择题

为落实素质教育,某中学拟从4个重点研究性课题和6个一般研究性课题中各选2个课题作为本年度该校启动的课题项目,若重点研究性课题A和一般研究性课题中至少有一个被选中的不同选法种数是,那么二项式的展开式中的系数为

   A.50000           B.54000             C.56000              D.59000

 

查看答案和解析>>

科目:高中数学 来源: 题型:

若[()log5x-1+1]n的展开式中各奇数项二项式系数之和为32,中间项为2 500,求x.

查看答案和解析>>

科目:高中数学 来源: 题型:

为落实素质教育,某中学拟从4个重点研究性课题和6个一般研究性课题中各选2个课题作为本年度该校启动的课题项目,若重点研究性课题A和一般研究性课题中至少有一个被选中的不同选法种数是,那么二项式的展开式中的系数为

   A.50000       B.54000       C.56000        D.59000

查看答案和解析>>

科目:高中数学 来源: 题型:

为落实素质教育,某中学拟从4个重点研究性课题和6个一般研究性课题中各选2个课题作为本年度该校启动的课题项目,若重点研究性课题A和一般研究性课题中至少有一个被选中的不同选法种数是,那么二项式的展开式中的系数为

   A.50000       B.54000       C.56000        D.59000

查看答案和解析>>

科目:高中数学 来源:安徽省08-09学年高二下学期六校联考(理) 题型:选择题

 为落实素质教育,某中学拟从4个重点研究性课题和6个一般研究性课题中各选2个课题作为本年度该校启动的课题项目,若重点研究性课题A和一般研究性课题中至少有一个被选中的不同选法种数是,那么二项式的展开式中的系数为

   A.50000       B.54000       C.56000        D.59000

 

查看答案和解析>>

同步练习册答案