精英家教网 > 高中数学 > 题目详情
某企业在第1年初购买一台价值为120万元的设备M,M的价值在使用过程中逐年减少,从第2年到第6年,每年初M的价值比上年初减少10万元;从第7年开始,每年初M的价值为上年初的75%。
(1)求第n年初M的价值an的表达式;
(2)设,若An大于80万元,则M继续使用,否则须在第n年初对M更新。证明:须在第9年初对M更新。
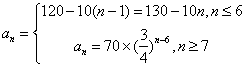
解:(1)当n<6时,数列{an}是首项为120,公差为-10的等差数列
an=120-10(n-1)=130-10n
当n≥6时,数列{an}是以a6为首项,公比为的等比数列,又a6=70
所以
因此,第n年初,M的价值an的表达式为
(2)设Sn表示数列{an}的前n项和,由等差、等比数列的求和公式得
当1≤n≤6时,
当n≥7时,

因为{an}是递减数列,
所以{An}是递减数列


所以须在第9年初对M更新。
练习册系列答案
相关习题

科目:高中数学 来源: 题型:

某企业在第1年初购买一台价值为120万元的设备M,M的价值在使用过程中逐年减少.从第2年到第6年,每年初M的价值比上年初减少10万元;从第7年开始,每年初M的价值为上年初的75%.
(Ⅰ)求第n年初M的价值an的表达式;
(Ⅱ)设An=
a1+a2+…+ann
,若An大于80万元,则M继续使用,否则须在第n年初对M更新.证明:须在第9年初对M更新.

查看答案和解析>>

科目:高中数学 来源: 题型:

某企业在第1年初购买一台价值为120万元的设备M,M的价值在使用过程中逐年减少,从第2年到第6年,每年初M的价值比上年初减少10万元;从第7年开始,每年初M的价值为上年初的75%.

(I)求第n年初M的价值的表达式;

(II)设大于80万元,则M继续使用,否则须在第n年初对M更新,证明:须在第9年初对M更新.

查看答案和解析>>

科目:高中数学 来源:2014届广东省高二第一次阶段考试文科数学试卷(解析版) 题型:解答题

(本题满分14分)某企业在第1年初购买一台价值为120万元的设备M,M的价值在使用过程中逐年减少,从第2年到第6年,每年初M的价值比上年初减少10万元;从第7年开始,每年初M的价值为上年初的75%.

(1)求第n年初M的价值的表达式;

(2)设大于80万元,则M继续使用,否则须在第n年初对M更新,

证明:第6年初仍可对M继续使用.

 

查看答案和解析>>

科目:高中数学 来源:2011年湖南省招生统一考试文科数学 题型:解答题

 

某企业在第1年初购买一台价值为120万元的设备M,M的价值在使用过程中逐年减少,从第2年到第6年,每年初M的价值比上年初减少10万元;从第7年开始,每年初M的价值为上年初的75%.

(I)求第n年初M的价值的表达式;

(II)设大于80万元,则M继续使用,否则须在第n年初对M更新,证明:须在第9年初对M更新.

 

 

查看答案和解析>>

科目:高中数学 来源:2011年高考试题数学文(湖南卷)解析版 题型:解答题

 

某企业在第1年初购买一台价值为120万元的设备M,M的价值在使用过程中逐年减少,从第2年到第6年,每年初M的价值比上年初减少10万元;从第7年开始,每年初M的价值为上年初的75%.

(I)求第n年初M的价值的表达式;

(II)设大于80万元,则M继续使用,否则须在第n年初对M更新,证明:须在第9年初对M更新.

 

 

查看答案和解析>>

同步练习册答案