【答案】
分析:分x大于等于0,和x小于0两种情况去绝对值符号,可得当x≥0时,曲线

=1为焦点在y轴上的双曲线,当x<0时,曲线

=1为焦点在y轴上的椭圆,在同一坐标系中作出直线y=x+3与曲线

=1的图象,就可找到交点个数.
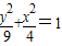
解答:解:当x≥0时,曲线

=1的方程为

当x<0时,曲线

=1的方程为

,
∴曲线

=1的图象为右图,
在同一坐标系中作出直线y=x+3的图象,

可得直线与曲线交点个数为3个.
故答案为3
点评:本题主要考查图象法求直线与曲线交点个数,关键是去绝对值符号,化简曲线方程.