精英家教网 > 高中数学 > 题目详情
已知角α的终边经过点P(-,m)(m≠0),且sinα=m,求cosα、tanα的值.
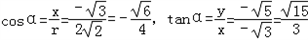
解:由题意知:,则
所以
∵m≠0,

所以
时,
时,
练习册系列答案
相关习题

科目:高中数学 来源: 题型:

已知角a的终边经过点P(4,3),则sina+cosa的值是(  )

查看答案和解析>>

科目:高中数学 来源: 题型:

已知角a的终边经过点P(-3,4),求
2six(π-a)•cos(2π-a)+1
cos2a+sin(
π
2
-a)• cos(
2
+a)
的值.

查看答案和解析>>

科目:高中数学 来源: 题型:

已知角a的终边经过点P(5,-12),则sina+cosa的值为
-
7
13
-
7
13

查看答案和解析>>

科目:高中数学 来源: 题型:

已知角x的终边经过点P(5,-12),则sinx=
-
12
13
-
12
13
,tanx=
-
12
5
-
12
5

查看答案和解析>>

科目:高中数学 来源:2015届河北省高一上学期第三次月考数学试卷(解析版) 题型:选择题

已知角a的终边经过点,则的值等于(   )

A.             B.               C.               D.

 

查看答案和解析>>

同步练习册答案