精英家教网 > 高中数学 > 题目详情
一根竹竿长2米,竖直放在广场的水平地面上,在t1时刻测得它的影长为4米,在t2时刻的影长为1米.这个广场上有一个球形物体,它在地面上的影子是椭圆,问在t1、t2这两个时刻该球形物体在地面上的两个椭圆影子的离心率之比为( )
A.1:1
B.:1
C.:1
D.2:1
【答案】分析:在同一时刻,物体的实际高度和影长成正比,据此列方程求得球在地面上的影子长度,即椭圆的长轴长,而椭圆的短轴长即为球的半径,从而求得椭圆影子的离心率即可解答.
解答:解:如图,
AC为太阳光线与⊙O相切,则AC=AB=m,
在t1时刻,
设CD=x,则AD=2x,半径为R,
在Rt△ACD中,x2+4x2=m2,解得x=m,
∴OH=BD=m-2×m,CH=m-R,
在Rt△OCH中,R2=(m-2×m)2+(m-R)2
解得
在t2时刻,设球的影子长为:n,同理可得:
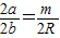
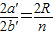
设在t1、t2这两个时刻该球形物体在地面上的两个椭圆的长轴长分别为为2a,2a′,短轴长为2b,2b′
对于椭圆而言,即
而椭圆的离心率
根据在t1、t2这两个时刻该球形物体在地面上的两个椭圆的短轴与长轴的比值相等,
∴在t1、t2这两个时刻该球形物体在地面上的两个椭圆影子的离心率之比为1:1,
故选A.
点评:本题只要是把实际问题抽象到相似三角形中,利用相似三角形的相似比,列出方程,求解即可.
练习册系列答案
相关习题

科目:高中数学 来源: 题型:

一根竹竿长2米,竖直放在广场的水平地面上,在t1时刻测得它的影长为4米,在t2时刻的影长为1米.这个广场上有一个球形物体,它在地面上的影子是椭圆,问在t1、t2这两个时刻该球形物体在地面上的两个椭圆影子的离心率之比为(  )
A、1:1
B、
2
:1
C、
3
:1
D、2:1

查看答案和解析>>

科目:高中数学 来源:2010-2011学年北京市高三上学期期中考试数学文卷 题型:选择题

一根竹竿长2米,竖直放在广场的水平地面上,在时刻测得它的影长为4米,在时刻的影长为1米.这个广场上有一个球形物体,它在地面上的影子是椭圆,问在这两个时刻该球形物体在地面上的两个椭圆影子的离心率之比为(    )

 1:1         :1      :1       2:1

 

查看答案和解析>>

科目:高中数学 来源: 题型:单选题

一根竹竿长2米,竖直放在广场的水平地面上,在t1时刻测得它的影长为4米,在t2时刻的影长为1米.这个广场上有一个球形物体,它在地面上的影子是椭圆,问在t1、t2这两个时刻该球形物体在地面上的两个椭圆影子的离心率之比为


  1. A.
    1:1
  2. B.
    数学公式:1
  3. C.
    数学公式:1
  4. D.
    2:1

查看答案和解析>>

同步练习册答案