精英家教网 > 高中数学 > 题目详情
某民营企业生产A、B两种产品,根据市场调查和预测,A产品的利润与投资成正比,其关系如图1所示;B产品的利润与投资的算术平方根成正比,其关系如图2所示(利润与投资单位:万元).

(1)分别将A、B两种产品的利润表示为投资的函数关系式;
(2)该企业已筹集到10万元资金,并全部投入A、B两种产品的生产,问:怎样分配这10万元投资,才能使企业获得最大利润,其最大利润为多少万元?
【答案】分析:(1)根据函数的模型设出函数解析式,从两个图中分别找出特殊点坐标,代入函数解析式求出两个函数解析式.
(2)将企业获利表示成对产品B投资x的函数;将函数中的换元为t,将函数转化为二次函数,求出对称轴,求出函数的最值.
解答:解:(1)设投资为x万元,
A、B两产品获得的利润分别为f(x)、g(x)万元,
由题意,(3分)
又由图知f(1.8)=0.45,g(4)=2.5;
解得
(8分)
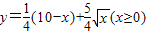
(2)设对B产品投资x万元,则对A产品投资(10-x)万元,
记企业获取的利润为y万元,
(10分)
,则x=t2

也即时,y取最大值(14分)
答:对B产品投资万元,对A产品投资万元时,
可获最大利润万元.
点评:本题考查将实际问题的最值问题转化为函数的最值问题、考查利用待定系数法求函数的解析式、考查换元法注意新变量的范围、二次函数的最值与对称轴有关.
练习册系列答案
相关习题

科目:高中数学 来源: 题型:

某民营企业生产A、B两种产品,根据市场调查和预测,A产品的利润与投资成正比,其关系如图1所示;B产品的利润与投资的算术平方根成正比,其关系如图2所示(利润与投资单位:万元).
精英家教网
(1)分别将A、B两种产品的利润表示为投资的函数关系式;
(2)该企业已筹集到10万元资金,并全部投入A、B两种产品的生产,问:怎样分配这10万元投资,才能使企业获得最大利润,其最大利润为多少万元?

查看答案和解析>>

科目:高中数学 来源: 题型:

某民营企业生产A,B两种产品,根据市场调查和预测,A产品的利润与投资成正比,其关系如图1,B产品的利润与投资的算术平方根成正比,其关系如图2(注:利润与投资单位是万元)
(1)分别将A,B两种产品的利润表示为投资的函数,并写出它们的函数关系式.
(2)该企业已筹集到10万元资金,并全部投入A,B两种产品的生产,问:怎样分配这10万元投资,才能使企业获得最大利润,其最大利润约为多少万元.(精确到1万元).

查看答案和解析>>

科目:高中数学 来源:2011年江苏省高考数学仿真押题试卷(09)(解析版) 题型:解答题

某民营企业生产A、B两种产品,根据市场调查和预测,A产品的利润与投资成正比,其关系如图1所示;B产品的利润与投资的算术平方根成正比,其关系如图2所示(利润与投资单位:万元).

(1)分别将A、B两种产品的利润表示为投资的函数关系式;
(2)该企业已筹集到10万元资金,并全部投入A、B两种产品的生产,问:怎样分配这10万元投资,才能使企业获得最大利润,其最大利润为多少万元?

查看答案和解析>>

科目:高中数学 来源:2011-2012学年湖北省高三第一次教学质量检测理科数学 题型:解答题

某民营企业生产A,B两种产品,根据市场调查和预测,A产品的利润与投资成正比,其关系如图1,B产品的利润与投资的算术平方根成正比,其关系如图2(注:利润与投资单位是万元)

   (1)分别将A,B两种产品的利润表示为投资的函数,并写出它们的函数关系式

   (2)该企业已筹集到10万元资金,并全部投入A,B两种产品的生产,问:怎样分配这10万元投资,才能是企业获得最大利润,其最大利润约为多少万元。(精确到1万元)

 

 

查看答案和解析>>

科目:高中数学 来源:2011年辽宁省锦州市高一第一学期末数学卷 题型:解答题

(本小题满分12分)

某民营企业生产A,B两种产品,根据市场调查和预测,A产品的利润与投资成正比,其关系如图1;B产品的利润与投资的算术平方根成正比,其关系如图2

(注:利润与投资单位是万元)

(Ⅰ)分别将A,B两种产品的利润表示为投资的函数,并写出它们的函数关系式;

(Ⅱ)该企业已筹集到10万元资金,并全部投入A,B两种产品的生产,问:怎样分配这10万元投资,才能使企业获得最大利润,其最大利润约为多少万元.(精确到1万元).

 

查看答案和解析>>

同步练习册答案