精英家教网 > 高中数学 > 题目详情
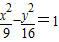
已知P为双曲线上一点,F1,F2为该双曲线的左、右焦点,若,则△F1PF2的面积为   
【答案】分析:由P为双曲线上一点,,利用双曲线第一定义和余弦定理列出方程组,求出|PF1|•|PF2|=64,由此能够求出△F1PF2的面积.
解答:解:∵P为双曲线上一点,


解得|PF1|•|PF2|=64,
∴△F1PF2的面积S=×|PF1|•|PF2|×sin60°=64×=16
故答案为:16
点评:本题考查三角形的面积的求法,具本涉及到椭圆的简单性质,余弦定理,正弦定理,解题时要认真审题,仔细解答,注意等价转化思想的合理运用.
练习册系列答案
相关习题

科目:高中数学 来源:2010河南省唐河三高高二下学期期末模拟理科数学卷 题型:选择题

已知P是双曲线上一点,双曲线的一条渐近线方程为3x-2y=0,F1 、F2分别是双曲线的左、右焦点,若|P F1 |=3,则|P F2|=                           (   )

A.7              B.6              C.5              D.3 

 

查看答案和解析>>

科目:高中数学 来源:2012-2013学年浙江省绍兴市诸暨中学高二(上)期中数学试卷(文科)(解析版) 题型:填空题

已知P为双曲线上一点,F1,F2为该双曲线的左、右焦点,若,则△F1PF2的面积为   

查看答案和解析>>

科目:高中数学 来源: 题型:

已知P是双曲线上一点,双曲线的一条渐近线方程为分别是双曲线的左右焦点,若,则等于

              A.11                  B.5                      C.5或11     D.7

查看答案和解析>>

科目:高中数学 来源:江西省上高二中09-10学年高二第五次月考(理) 题型:选择题

 已知P是双曲线上一点,双曲线的一条渐近线方程为,F1,F2分别是双曲线的左右焦点,若|PF1|=5,则|PF2|等于(     )

 A.  1或9     B.   5    C.  9   D.  13

 

查看答案和解析>>

同步练习册答案