精英家教网 > 高中数学 > 题目详情
选修4-4:坐标系与参数方程
若两条曲线的极坐标方程分别为ρ=1与ρ=2cos(),它们相交于A、B两点,求线段AB的长.
【答案】分析:化圆的极坐标方程为普通方程,联立方程组求出两个交点的坐标,然后利用两点间的距离公式求解.
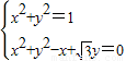
解答:解:由ρ=1,得ρ2=1,即x2+y2=1,
又ρ=2cos=2(cosθcos-sinθsin)=2(cosθ-sinθ),
∴ρ2=ρcosθ-ρsinθ,∴x2+y2-x+y=0,
,解得
则A(1,0),B().
所以|AB|=
所以线段AB的长为
点评:本题考查了简单曲线的极坐标方程,训练了二元二次方程组的解法,考查了两点间的距离公式,是基础的运算题.
练习册系列答案
相关习题

科目:高中数学 来源: 题型:

[选修4-4:坐标系与参数方程]
在直角坐标系xoy中,直线l的参数方程为
x=
1
2
t
y=
2
2
+
3
2
t
(t为参数),若以直角坐标系xoy 的O点为极点,Ox为极轴,且长度单位相同,建立极坐标系,得曲线C的极坐标方程为ρ=2cos(θ-
π
4
).直线l与曲线C交于A,B两点,求|AB|.

查看答案和解析>>

科目:高中数学 来源: 题型:

A.选修4-1:几何证明选讲
如图,△ABC的外接圆的切线AE与BC的延长线相交于点E,∠BAC的平分线与BC
交于点D.求证:ED2=EB•EC.
B.选修4-2:矩阵与变换
求矩阵M=
-14
26
的特征值和特征向量.
C.选修4-4:坐标系与参数方程
在以O为极点的极坐标系中,直线l与曲线C的极坐标方程分别是ρcos(θ+
π
4
)=
3
2
2
和ρsin2θ=4cosθ,直线l与曲线C交于点.A,B,C,求线段AB的长.
D.选修4-5:不等式选讲
对于实数x,y,若|x-1|≤1,|y-2|≤1,求|x-y+1|的最大值.

查看答案和解析>>

科目:高中数学 来源: 题型:

(2013•辽宁)选修4-4:坐标系与参数方程
在直角坐标系xoy中以O为极点,x轴正半轴为极轴建立坐标系.圆C1,直线C2的极坐标方程分别为ρ=4sinθ,ρcos(θ-
π
4
)=2
2

(Ⅰ)求C1与C2交点的极坐标;
(Ⅱ)设P为C1的圆心,Q为C1与C2交点连线的中点,已知直线PQ的参数方程为
x=t3+a
y=
b
2
t3+1
(t∈R为参数),求a,b的值.

查看答案和解析>>

科目:高中数学 来源: 题型:

选修4-4:
坐标系与参数方程在平面直角坐标系x0y中,曲线C1为x=acosφ,y=sinφ(1<a<6,φ为参数).
在以0为原点,x轴正半轴为极轴的极坐标中,曲线C2的方程为ρ=6cosθ,射线ι为θ=α,ι与C1的交点为A,ι与C2除极点外的一个交点为B.当α=0时,|AB|=4.
(1)求C1,C2的直角坐标方程;
(2)若过点P(1,0)且斜率为
3
的直线m与曲线C1交于D、E两点,求|PD|与|PE|差的绝对值.

查看答案和解析>>

科目:高中数学 来源: 题型:

(2011•晋中三模)选修4-4:坐标系与参数方程选讲
在直角坐标系xoy中,曲线c1的参数方程为:
x=2cosθ
y=2sinθ
(θ为参数),把曲线c1上所有点的纵坐标压缩为原来的一半得到曲线c2,以O为极点,x正半轴为极轴建立极坐标系,直线l的极坐标方程为
2
ρcos(θ-
π
4
)=4

(1)求曲线c2的普通方程,并指明曲线类型;
(2)过(1,0)点与l垂直的直线l1与曲线c2相交与A、B两点,求弦AB的长.

查看答案和解析>>

同步练习册答案