精英家教网 > 高中数学 > 题目详情
已知在数列{an}中,,当n≥2时,3an+1=4an-an-1(n∈N*),
(1)证明:{an+1-an}为等比数列;
(2)求数列{an}的通项;
(3)若数列{bn}满足bn=n·an,求{bn}的前n项和Sn
(1)证明:∵在数列{an}中,
当n≥2时,3an+1=4an-an-1(n∈N*),
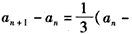
∴当n≥2时,

所以{an+1-an}是以为首项,以为公比的等比数列.
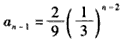
(2)解:由(1)知


累加得
所以
(3)解:∵


练习册系列答案
相关习题

科目:高中数学 来源: 题型:

已知在数列{an}中,a1=1,当n≥2时,其前n项和Sn满足Sn2=an(Sn-
1
2
)

(Ⅰ) 求Sn的表达式;
(Ⅱ) 设bn=
Sn
2n+1
,求数列{bn}的前n项和Tn

查看答案和解析>>

科目:高中数学 来源: 题型:

已知在数列{an}中,a1=7,an+1=
7anan+7
,计算这个数列的前4项,并猜想这个数列的通项公式.

查看答案和解析>>

科目:高中数学 来源: 题型:

已知在数列{an}中,an≠0,(n∈N*).求证:“{an}是常数列”的充要条件是“{an}既是等差数列又是等比数列”.

查看答案和解析>>

科目:高中数学 来源: 题型:

(2011•河北区一模)已知在数列{an}中,Sn是前n项和,满足Sn+an=n,(n=1,2,3,…).
(Ⅰ)求a1,a2,a3的值;
(Ⅱ)求数列{an}的通项公式;
(Ⅲ)令bn=(2-n)(an-1)(n=1,2,3,…),求数列{bn}的前n项和Tn

查看答案和解析>>

科目:高中数学 来源: 题型:

已知在数列{an}中,a1=
1
2
,Sn是其前n项和,且Sn=n2an-n(n-1).
(1)证明:数列{
n+1
n
Sn}
是等差数列;
(2)令bn=(n+1)(1-an),记数列{bn}的前n项和为Tn
①求证:当n≥2时,Tn2>2(
T2
2
+
T3
3
+…+
Tn
n
)

②)求证:当n≥2时,bn+1+bn+2+…+b2n
4
5
-
1
2n+1

查看答案和解析>>

同步练习册答案