精英家教网 > 高中数学 > 题目详情

已知是定义域为实数集的偶函数,,若,则.如果,那么的取值范围为(      )

(A)                  (B)

(C)    (D)

 

【答案】

B

【解析】

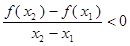
试题分析:∵,则,

∴定义在实数集上的偶函数上是减函数.

, ∴, 即.

 或 解得.

.故选B.

考点:函数的奇偶性、单调性.

 

练习册系列答案
相关习题

科目:高中数学 来源: 题型:

已知函数f(x)=1-
a3x+1
是定义域为实数集的奇函数,
(1)求a的值;
(2)判断函数f (x)的单调性并证明;
(3)当x∈[-1,2)时,求函数f (x)的值域.

查看答案和解析>>

科目:高中数学 来源: 题型:

已知函数y=f(x+
1
2
)-
1
2
是定义域为实数集R的奇函数,则f(
1
2011
)+f(
2
2011
)+f(
3
2011
)+…+f(
2010
2011
)
的值为
1005
1005

查看答案和解析>>

科目:高中数学 来源:2012-2013学年云南省毕业生复习第二次统一检测文科数学试卷(解析版) 题型:选择题

已知是定义域为实数集的偶函数,,若,则.如果,那么的取值范围为(    )

(A)                    (B)

(C)   (D)

 

查看答案和解析>>

科目:高中数学 来源:2010年福建省八县(市高二下学期期末联考(文科)数学卷 题型:解答题

(本题满分14分)已知函数的图象在点处的切线的斜率为,且在处取得极小值。

(1)求的解析式;

(2)已知函数定义域为实数集,若存在区间,使得的值域也是,称区间为函数的“保值区间”.

①当时,请写出函数的一个“保值区间”(不必证明);

②当时,问是否存在“保值区间”?若存在,写出一个“保值区间”并给予证明;若不存在,请说明理由.

 

查看答案和解析>>

同步练习册答案